Оглавление
Белая дыра – это тень Чёрной дыры
Любовь Приказчикова
Следует признать, что сами по себе диаграммы Минковского, Пенроуза, Крускала для космологических и релятивистских явлений, в частности, в окрестностях Чёрных и Белых дыр выглядят непротиворечиво и корректно отражают аналитические мировые линии. Для демонстрации рассмотрим гипотетический случай со звездолетом, совершающим замкнутый цикл полёта. В начальный момент времени эксперимента, в некотором отдаленном прошлом звездолёт находился на стационарной орбите вблизи горизонта событий Черной дыры – в точке А. Завершив запланированные эксперименты, астронавты отправляют световой сигнал удалённым наблюдателям и, для контроля, в сторону Черной дыры. Изобразим эту ситуацию на традиционной диаграмме Крускала-Шекереса. Для экономии места мы приводим только основную часть диаграммы – область I, нашу Вселенную (рис.1). И сразу же обнаруживаем, что в традиционных координатах Крускала нулевую геодезическую мы не можем изобразить как прямую линию! Тем не менее, продолжим эксперимент. Звездолет удаляется от звезды с некоторой начальной скоростью и отрицательным ускорением. Достигнув наибольшего удаления, точки B, астронавты вновь отправляют два сигнала: один удаленным наблюдателям, другой – вновь в сторону Черной дыры. И эти нулевые геодезические на диаграмме изобразить в виде прямых линий нам не удалось.

Рис.1. Эксперимент со звездолетом
Наконец, звездолёт вновь приблизился к исходной стационарной орбите, в точку C, с которой вновь посылает два световых сигнала. Как видим, в исходном варианте диаграмм Крускала светоподобные геодезические заметно отличаются от привычного изотропного вида, когда они строго прямолинейны и наклонены под 45 градусов к горизонту. Связано это, очевидно, с особенностями использованной координатной сетки диаграммы. Действительно, если попытаться построить наугад, веером прямые линии во всех возможных направлениях, то среди них светоподобных мы вообще не найдём. Криволинейными оказываются все геодезические, и времениподобные, и светоподобные и пространственноподобные (кроме линий времени, то есть, пространственноподобные, тахионные) – рис.2. На рисунке изображены 36 прямых линий с угловым интервалом в 10 градусов, выглядящие как некий паук. Как видим, среди них собственно прямых линий нет, кроме одной – горизонтальной оси. Более того, левые стороны всех геодезических при продлении сходятся в левом углу диаграммы (к центру, если рассматривать полный вариант диаграммы).

Рис.2. Веер прямых линий на диаграмме Крускала
Но, может быть, это особенность координатной сетки в данном варианте, на основе уравнений [3, т.3, с.28]? Чтобы проверить это, построим такое же семейство прямых линий на диаграмме Крускала-Шекереса в версии Строминжера – рис.3. Как и на предыдущих рисунках, здесь в полном размере также показана только область I – наша Вселенная. Поскольку в базовом варианте уравнения Строминжера [1, с.12] создают координатную сетку диаграммы Крускала в таком наклонном, диагональном виде, мы тоже не стали поворачивать её к традиционному положению. Главное видно и так: пучок прямых линий всех возможных направлений показывает, что светоподобные геодезические получить не удалось и в этом случае. Как и выше, имея уравнения координатной сетки, мы обычным способом нанесли на неё графики аналитических функций r = kt+r0. Функция задаёт прямую линию, направление которой определяет коэффициент k, а параметр r0 означает лишь её параллельный перенос.

Рис.3. Веер прямыхлиний на диаграмме Крускала
Поэтому, если на диаграмме Крускала-Шекереса с исходной радиальной сеткой r = const будут изображены светоподобные линии с наклоном в 45 градусов, к этому следует отнестись предельно скептически.
Внимательный анализ возникшей странности показал, что криволинейные нулевые геодезические неожиданным образом оказались связанными с так называемой черепашьей координатой. Такое название получило одно из специфических выражений в формализме теории гравитации. Собственно название само по себе связано с одной из апорий древнегреческого философа Зенона о быстроногом Ахиллесе, который никогда не догонит неторопливую черепаху. Судя по всему, автор апории не был знаком с понятием математического ряда и его суммы, но аллегория прижилась. Как правило, уравнение черепашьей координаты в литературе [3, т.2, с.331] приводится в следующем виде:
![]()
Рассмотрим это выражение более подробно, для чего тривиально преобразуем его к сопоставимому виду
![]()
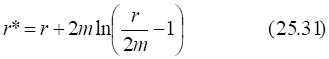
Теперь сравним это выражение с полученным ранее (здесь, Новиков, Боулер) решением для фотона, падающего на горизонт событий Черной дыры Шварцшильда
![]()
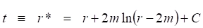
Приведем и это выражение к такому же виду, что и для черепашьей координаты, выделив константу
![]()
Теперь сравним эти два преобразованных выражения:
![]()
Как видим, черепашья координата r* удивительным образом оказалась формулой для времени движения фотона, полностью совпав с нею. Уравнивание времени и расстояния не должно вводить в заблуждение, поскольку здесь просто завуалирована скорость света c = 1. Но на этом странности черепашьей координаты не закончились. В литературе эта координата встречается довольно часто. Например, в учебнике "Гравитация" эта координата упоминается более десятка раз, и утверждается, что она
"... была введена Уилером ... и популяризовалась Редже и Уилером ..." [3, т.2, с.331]
Однако, что выглядит также довольно странно, по приведенным ссылкам в каждом из двух упомянутых источников, во-первых, название "черепашья координата" (tortoise coordinate) вообще не встречается, а, во-вторых, её запись используется лишь один раз, как подстановка и в дальнейшем больше нигде не используется и не упоминается, что на популяризацию мало похоже. Кроме того, в этих источниках она имеет явно иной вид:
![]()
Хотя в [3, т.2, с.332] и отмечается, что, если бы этой координаты не было, то её нужно было бы придумать, это мнение не выглядит достаточно обоснованным, а сама координата не лишена противоречий.
Можно предположить, что главное назначение черепашьей координаты, хотя об этом прямо нигде не заявлено, – это спрямление нулевых геодезических на исходных диаграммах Крускала-Шекереса, что видно на рис.4. В исходной версии диаграмм, как мы только что обнаружили, нулевые геодезические невозможно изобразить прямыми линиями с уклоном в 45 градусов, что автоматически делает невозможными и световые конусы. При использовании черепашьей координаты исходные координаты Крускала на самом деле просто деформируются, но весьма удобным образом. Можно даже сказать, что эта координата на самом деле является уравнением нулевой геодезической. Как видно на рис.4, теперь семейство, веер прямых линий, построенных с использованием черепашьей координаты, содержит нулевые геодезические.
Выбраны линии, проходящие через одну точку, но имеющие разный угол наклона (то есть, скорость частицы). Как видим, действительно прямыми линиями являются только световые, нулевые геодезические (выделены). Следует отметить, что в этом случае линии r = const (параболы) традиционной сетки на диаграммах Крускала, видимо, уже не являются точными значениями радиальной координаты.
Для обеспечения изотропности диаграммы Крускала её координатная сетка должна принципиально отличаться от исходной сетки. Линии r = const на такой диаграмме располагаются по экспоненциальному закону: r ~ exp(u) – рис.6. Теперь мы можем, используя черепашью координату, исправить наш рис.1 с экспериментом на звездолете. И здесь совершенно неожиданно на приведенных диаграммах мы обнаруживаем ещё одну странность и даже, видимо, ранее никем не озвученную проблему. Посмотрим внимательно на рис.4 и опишем изображенную на нем картину буквально, детально.

Рис.4. Семейство прямых линий на диаграмме Крускала в черепашьих координатах
Итак, мы видим, как звездолёт совершил бросок из окрестностей Черной дыры из точки A на некоторое удаление от неё, в точку B, после чего вновь вернулся на исходную орбиту в точку C. Мы не будем придираться к пространственноподобному виду его мировой линии, это всего лишь демонстрационный пример. Примем, что на звездолете установлены тахионные двигатели достаточной мощности. Считается, что разогнать космический корабль до субсветовых скоростей обычными химическими двигателями невозможно. Тягу должны создавать носители, сами движущиеся с субсветовой скоростью. Тахионы для этой цели подходят как нельзя лучше. В процессе движения со звездолёта трижды подавались сдвоенные световые сигналы: один удалённым наблюдателям, а другой, зондирующий, эталонный – в сторону Черной дыры. Иными словами можно сказать, что один луч света испускался вперед, по ходу движения звездолёта, другой, одновременно с этим – в обратную сторону. Если угодно – за спину, через плечо. Такие пары сигналов были отправлены в момент старта из окрестностей Черной дыры из точки A, затем в наивысшей точке траектории B, на максимальном удалении от Черной дыры. Последняя пара сигналов была отправлена в момент возвращения в исходную точку С.

Рис.5. Эксперимент на звездолете
Мы столь подробно описываем процедуру сигнализации неспроста. Во всех случаях сигналы были отправлены в сторону Черной дыры и в противоположную от неё сторону. И теперь самое интересное: смотрим на диаграмму рис.5. Там отчетливо изображены все эти шесть сигналов. В описании мы также четко и ясно отметили, что ни один из них не направлен куда-то в сторону: только к Черной дыре и только в противоположном от неё направлении. Но на диаграмме три сигнала странным образом направлены не куда-нибудь, а в сторону, графически противоположную положению Белой дыры, то есть от Белой дыры. Мы явно отметили: все эти сигналы направлены вовне, наружу от Черной дыры. Три сигнала – на Черную дыру, и три – в противоположном от неё направлении, и ни одного сигнала, направленного к Белой дыре или от неё.
Можно сколько угодно спорить и не соглашаться, но эта самая Белая дыра на самом деле – это всё та же, одна-единственная Черная дыра. Нет на диаграмме ничего, кроме этой единственной Черной дыры. То, что странным образом решили назвать Белой дырой, на самом деле всё та же Черная дыра, но просто-напросто за нашей спиной. Если мы смотрим на неё – она Черная дыра. А если отвернулись и смотрим в противоположном направлении, она стала Белой?
Из этого же непосредственно следует, что фактически нет никаких разных областей II и IV – это одна и та же область, и сингулярность в ней тоже одна и та же. Нет никакого анти- или антипараллельного горизонта, а сетка r = const "обтекает" этот угол диаграммы гладко, без разрывов. Отметим, что после изменения уравнений нулевые, светоподобные геодезические фотонов, искаженные выше на рис.1, приобрели желаемый вид на рис.5: угол наклона строго 45 градусов или параллельно горизонтам событий Черной дыры. Но при этом оказалось, что собственно координатная сетка диаграммы Крускала теперь уже должна иметь совершенно иной вид. Теперь это уже изотропная сетка и "расширяется" она экспоненциально в обратном направлении: от сингулярности к бесконечности, что видно на следующем рис.6.:
Здесь уместно вспомнить, каким образом были получены эти считающиеся разными сдвоенные области II и IV. Приведем примерную эволюцию координат Шварцшильда в диаграмму Пенроуза, несколько схожую с теми, что приводятся в литературе [2, с.164]. В исходном варианте координаты Шварцшильда рис.7а содержат одну сингулярность Черной дыры r = 0 и один её горизонт событий r = 2m. Затем начинается загадочная и не вполне последовательная деформация координат рис.7б. На некотором этапе без всякой видимой причины сингулярность Шварцшильда разрывается на две части рис.7в.

Рис.6. Изотропная координатная сетка Крускала
Заметим, что эта сингулярность, вообще-то начало координат, их нулевая точка. Позади неё нет ничего. Однако в момент её разрыва вдруг образовалась, материализовалась из ничего параллельная Вселенная. Смысл разрыва начала координат, удвоения начальной точки объяснить весьма непросто. Было одно начало координат, стало два. Например, как бы выглядели в таком контексте двойное возникновение Вселенной, сдвоенный Большой взрыв? Тем не менее, процесс разделения продолжается рис.7г: удвоенные куски сингулярности, два начала координат разводятся, так сказать, по своим углам ринга и располагаются горизонтально.
А из пустого места, точки разрыва стремительно стала разрастаться эфемерная параллельная Вселенная. Конечно, это уже частные, мелкие детали. Главное состоит в другом: горизонт событий r = 2m буквально переломили надвое, согнув в прямой угол. После этого начинаются странные объединения линий. По сложно объяснимой причине из угла изогнутого горизонта событий "вытягиваются" из небытия две линии – параллельный и антипараллельный горизонты, такие же эфемерные контуры эфемерной параллельной Вселенной. Но если мы внимательно присмотримся к этому "колену" горизонта r = 2m, присмотримся через очень сильный микроскоп, то мы не увидим на нём самом никаких ответвлений.

Рис.7. Эволюция координат Шварцшильда в диаграмму Пенроуза
Тем не менее, рис.7д, эти линии приклеивают к "колену" и присваивают ему собственное имя i0. На самом деле, это не единая точка, это искусственное образование, которое даже формально не может иметь аналитического описания. Такая же процедура проделывается и в другой точке диаграммы рис.7е. Здесь дела обстоят ещё более странно, поскольку в этой окрестности собирается целый пучок линий, имеющих координаты от 0 до 2m. Тем не менее, этой окрестности также присваивается имя собственное – i+. В итоге мы получаем довольно неестественное, но весьма удобное новообразование – максимально расширенное решение Шварцшильда. Главное в нём то, что разрезав одну и ту же, единственную сингулярность на две, мы стали считать, что теперь уже это две разные сингулярности. Но, как мы только что обнаружили, диаграммы решительно этому противятся, любые выкладки явно приводят нас к заключению: это по-прежнему одна и та же сингулярность одной и той же Черной дыры, одной и той же единственной Вселенной.
В этой связи возникают разные, довольно каверзные вопросы. Например, весьма странно теперь выглядят попытки построить мост, червоточину, проходящие в промежутке между двумя сингулярностями, если оказывается, что это, вообще-то, одна и та же сингулярность, точка и никакого "между" здесь в принципе быть не может. Попробуйте-ка, пройти между двумя столбами, если это один и тот же столб. Кроме того мост должен соединить нашу известную Вселенную с миражом, не имеющим никакой разумной истории происхождения.
Скорее всего, всем известен предмет мебели – трельяж. Он состоит из трёх зеркал, два из которых обычно поворотные. В этих зеркалах мы видим три своих отражения. Конечно, если убрать среднее зеркало, то, вроде бы, в образовавшийся проём можно пройти между оставшимися двойниками. Это и есть подобия зеркальных двойников – Черной и Белой дыр.
Заметим, что у всех без исключения традиционных диаграмм с Черной и Белой дырой как следствие есть еще одно удивительное и крайне, невероятно забавное свойство. На таких диаграммах любая точка всегда, в любой момент диаграммного времени одинаково удалена от Черной и Белой дыры.
Действительно, давайте нанесем на диаграмму Крускала событие, произошедшее миллион лет назад в окрестности горизонта событий Черной дыры. Отметим это обстоятельство предельно четко и определенно: в окрестности Черной, а не Белой дыры. Изобразим это событие на диаграмме, изобразим условно, поскольку на диаграмме эту точку можно разглядеть только в электронный микроскоп. Итак, обозначим это событие буквой A.
Затем изобразим другое событие, которое произойдет, но теперь уже в окрестности Белой дыры, лишь через миллион лет. Скажем, в этот момент из неё вылетела последняя из оставшихся в ней частиц. Либо, как принято считать, где-то в связанную с нею Черную дыру упала эта самая частица и, туннелируя, вылетела из нашей Белой дыры. Это событие обозначим буквой B. Очевидно, что его мы тоже обозначим условно, поскольку и его на диаграмме Крускала можно разглядеть разве что в электронный микроскоп. А теперь посмотрим на получившуюся диаграмму рис.8.
Нет и нет! На диаграмме всё изображено верно: событие A – в окрестности Черной дыры, а событие B – в окрестности Белой. Но почему же на диаграмме мы явно видим обратное: событие A находится рядом с сингулярностью Белой дыры, а событие B – рядом с сингулярностью Черной?!

Рис.8. Два события в окрестностях Черной и Белой дыр
Вот в этом и состоит абсурд двух сингулярностей и пары дыр. Это одна сингулярность, это одна, Черная дыра, нет никакой Белой дыры с её анти-сингулярностью. Хотя между событиями A и B прошло два миллиона лет, но они всё это время, всегда находились в одной и той же точке пространства, на одном и том же удалении от горизонта событий - r0. Это одна из очевидных особенностей таких диаграмм: на них в принципе невозможно изобразить точку, которая находилась бы на разном расстоянии от Черной и Белой дыры. Никакими ухищрениями ни на одну такую диаграмму невозможно нанести такое событие, чтобы оно к одной из сингулярностей было ближе, чем к другой.
Любая точка на диаграмме Крускала или Пенроуза всегда равноудалена как от Черной, так и от Белой дыры, поскольку в один и тот же момент времени невозможно находится на разных расстояниях от одного и того же объекта. Нигде в литературе это свойство не описано.
Еще раз отметим: два нулевых куска оси координат на подобных диаграммах разнесены в разные места, что весьма неестественно. На диаграммах фактически присутствуют два начала координат: каждая из сингулярностей имеет нулевое значение координаты r = 0. Легко догадаться, что в этом направлении просторы для многомирового творчества не имеют границ.
Итак, мы неожиданно обнаружили, что Черная и Белая дыра оказываются совмещенными, являются одной и той же единственной дырой с единственной сингулярностью. Возникает естественный вопрос: что осталось после такого слияния – Черная или Белая дыра? Рассмотрим ситуацию подробнее. Для этого обратимся к диаграмме Пенроуза для так называемой вечной Черной дыры – рис.9. Собственно говоря, понятие Белой дыры как раз и возникло из диаграмм подобного вида, одними из первых которых были, видимо, координаты Крускала-Шекереса. Если верхняя левая граница – это горизонт событий Черной дыры, то левая нижняя граница, видимо, должна быть её антиподом, то есть, горизонтом событий Белой дыры.
Изобразим теперь уже на этой диаграмме некоторое произвольное событие A, находящееся в прошлом вблизи горизонта событий Черной дыры. И что мы обнаруживаем? Оказывается, визуально на диаграмме мы изобразили звездолёт вблизи горизонта событий Белой дыры. Но ведь требовалось изобразить его возле Черной дыры.
Ну, хорошо. Пусть теперь, как выше на диаграмме Крускала, этот звездолёт посылает прожектором, лазером луч света в противоположном направлении от Черной дыры, в сторону второго звездолета B. И вновь нам на диаграмме изобразить это не удаётся. Конечно, луч света точно направлен на звездолет B, но со стороны Белой дыры, из окрестностей её горизонта событий.

Рис.9. Диаграмма Пенроуза для вечной Черной дыры
Как известно, на всех диаграммах Пенроуза лучи света изотропны и всегда изображаются прямыми линиями, параллельными сторонам, границам диаграммы. Правда, следует уточнить, что для диаграмм Пенроуза с горизонтами событий это правило в общем случае нарушается: в обычном их виде ни нулевые геодезические, ни световые конусы изобразить изотропно, с углами под 45о нельзя. Но нас это сейчас не должно беспокоить. Поэтому теперь попытаемся отправить со звездолёта B ответный световой сигнал – в сторону звездолёта A. Вне всяких сомнений в реальном пространстве-времени это возможно. Однако и в этот раз у нас возникают геометрические проблемы на диаграмме. Мы же видим: на диаграмме звездолёт A находится слева снизу, но направить туда луч света мы не можем, поскольку это будет движение в обратном направлении времени, в прошлое.
Поэтому единственное направление – это влево вверх. Именно в этом направлении для звездолёта B находится горизонт событий Черной дыры. И отправленный световой сигнал получит звездолёт C. Этот звездолёт находится в окрестностях горизонта событий Черной дыры.
Но что это за новый, третий звездолёт? Ведь мы изначально разместили в этой точке на диаграмме звездолет A? А дело в том, что это он и есть – звездолёт A, только в другой момент времени. Но теперь визуально он оказался уже в окрестности горизонта событий Черной дыры, куда мы его изначально и поместили.
Что же получается? Мы поместили звездолет A вблизи горизонта событий Черной дыры, но на диаграмме обнаружили, что он странным образом оказался вблизи, в окрестности горизонта событий Белой дыры. Затем мы послали два световых сигнал, и выяснилось, что второй сигнал получил звездолёт C, который оказался на самом деле звездолетом A и именно в той исходной точке, теперь уже точно в окрестности Черной дыры.
Конечно же, никаких чудес не произошло. Просто мы явно и недвусмысленно показали, что существует лишь один горизонт событий – Черной дыры, что существует лишь одна дыра – Черная, нет никакой Белой дыры, это иллюзия.
Как бы близко к любому из горизонтов мы ни располагали исходную точку звездолёта, всегда перед ним или позади него будет только одна и та же Черная дыра. Следовательно, нижний левый горизонт событий на диаграмме Пенроуза является горизонтом событий Черной дыры. Той же самой, что и слева вверху. Оба левых горизонта событий r = 2m на диаграмме принадлежат одной и той же Черной дыре. Для Белой дыры на диаграмме Пенроуза просто нет места. Впрочем, как и вообще на любой другой.
Повторим, что, в сущности, это достаточно очевидно. Все линии r = const являются сплошными, неразрывными линиями, изначально примыкающими к левому углу диаграммы, постепенно отдаляясь от него. Только такая трактовка горизонтов позволяет рассматривать полный диапазон движения в пространстве-времени диаграммы Пенроуза: от горизонта событий до бесконечности и обратно. Образ Белой дыры в такую картину попросту не вписывается.
Например, будет невозможно изобразить движение звездолёта прочь от Черной дыры, поскольку все эти направления "от" оказываются закрепленными за мнимой Белой дырой. Но отказ от этого ошибочного понятия ставит всё на свои места.
Рассмотрим еще раз звездолет, такой же, что и на диаграмме Крускала выше. Звездолёт имеет сверхмощные двигатели, позволяющие ему вырваться из гравитации Черной дыры после приближения к ней на расстояние, например, r = 2.01m, что является вполне физически допустимой ситуацией. Затем, после удаления на расстояние, скажем, 6m, звездолет разворачивается и снова движется к горизонту событий, почти до соприкосновения с ним. На диаграмме Пенроуза без Белой дыры рис.9 такая мировая линия может быть изображена корректно, без каких-либо неопределенностей или условностей. Однако при замене нижнего горизонта Черной дыры на якобы горизонт событий Белой дыры такую картину на диаграмме изобразить невозможно, возникает двусмысленность. Изображая удаление звездолета от Черной дыры, на диаграмме мы фактически, визуально изображаем его удаление от Белой дыры.
Как видим, обнаруженная выше на диаграммах Крускала особенность присуща точно также и диаграммам Пенроуза. Изобразить движение от Черной дыры ни в координатах Крускала, ни на диаграммах Пенроуза невозможно, если считать нижнюю сингулярность присущей Белой дыре. На диаграммах Белая дыра появилась, очевидно, просто по недоразумению.
В сущности, этот абсурд, эту коллизию можно посчитать довольно странной. Является ли это парадоксом собственно Белой дыры, видимо, решать специалистам в этой области, физикам, виртуозно владеющим её математическими методами. Тем не менее, сам вопрос настолько очевиден, что остаётся лишь сожалеть, что это заблуждение годами кочует из учебника в учебник, из статьи в статью. До 24 января 2018 года никаких описаний этого парадоксального явления ни в литературе, ни в каких других источниках не найдено, то есть, здесь его описание приводится впервые. Напротив, во всех литературных источниках и учебниках описываются только мосты, червоточины, как каналы, проходящие строго между двумя разными сингулярностями. В основе последних, после-эйнштейновских версий кротовых нор или мостов лежит относительно редко именуемый в литературе параболоид Фламма.
При всей красочности и привлекательности идей параллельных Миров, Вселенных, дополнительных пространственных измерений, все эти идеи являются плодом разумного, намеренного конструирования. Проведенные здесь математические, логически и философские исследования можно трактовать исключительно таким образом: никакие научные выводы, решения на самом деле сами по себе не являются доказательством их существования. Во всех рассмотренных случаях эти доказательства являются следствием неких гипотетических допущений, волевых модификаций уравнений, игнорированием "неудобных" решений.
Вместе с тем, наши выводы не распространяются на реальные наблюдения, о которых нам только то и известно, что кто-то где-то что-то видел. Даже исключительно научно признаваемые факты – снимки, видео и даже труднообъяснимые вещественные объекты могут иметь вполне рациональное, условно говоря, трехмерное объяснение. Вряд ли исследователь согласится с мистическими доводами, если можно привести доводы рациональные, пусть даже на первых порах выглядящие как "притянутые за уши". И, тем более что главным критерием отбраковки мистики всегда был и навсегда должен остаться принцип недопущения в научную теорию противоречий, реальных парадоксов, абсурдов. Теория, которая всё объясняет происками непознаваемых потусторонних сил, тем самым может предсказать всё, что угодно.
Отдельно следует рассмотреть кажущиеся совершенно безупречными "исторические" доказательства. Как, например, можно объяснить явления оракула, пророка? Вряд ли можно найти неопровержимые, бесспорные основания отрицать, что целый ряд таких предсказаний реально сбылся, осуществился. При этом, несомненно, любой логик, убежденный философ обязан признать, что любое действительно предсказание – это однозначно взгляд в будущее, его посещение. Только в этом случае предсказание является именно этим – предсказанием ещё не наступившего события. Но как же в этом случае быть с парадоксами причинности?! А если путешествие в будущее (с последующим возвращением в прошлое!) возможно, то точно так же мы обязаны признать и критикуемые здесь параллельные миры, множественные Вселенные, дополнительные измерения. Конечно, вопрос, так сказать, весьма скользкий. Но и ему можно найти вполне логичное, аргументированное объяснение. Нет никакой необходимости в машине времени, рациональное объяснение вполне возможно.
Сюда же следует отнести и куда более научные парадоксы, которые возникли строго логически в недрах прекрасно себя зарекомендовавших научных теорий. Более того, эти парадоксы имеют вполне даже последовательное и конструктивное описание. Единственное их слабое место – интерпретация. На некотором этапе математический, научный формализм неизбежно сталкивается с этой бедой – недостатком, нехваткой этого самого формализма. Вряд ли сто́ит упрекать в этом ученых, исследователей. Лучше трактовать их мистические экивоки в таких ситуациях просто проблемами роста. Видимо, научные знания пока не позволяют объяснить без мистики то или иное явление. Например, парадокс кота Шрёдингера. В конце концов, физикам, математикам тоже следует иной раз дать отдохнуть, развлечься, пофилософствовать на схоластические темы. Особенно, когда кажется, что основные вопросы физики в целом решены. Можно ли быть уверенным, что некие ныне сформулированные гипотезы, теории, теоремы верны навсегда? Конечно же, нет. Две ведущие физические теории современности – квантовая механика и теория относительности – вдруг обнаружили внутреннюю несовместимость. Как же так? Но, тем не менее, нелокальность, которая, вообще-то, не имеет объяснения и в самой породившей её квантовой теории, позволяет разрушить главный, краеугольный камень теории относительности – её второй постулат. Хотя и делает это как-то неуверенно, как бы сомневаясь в собственном предсказании. Нелокальность при тщательном логическом анализе явно означает наличие некоего сверхсветового агента, носителя. У него даже имя есть – тахион. Но вместо признания информационного, квантового взаимодействия между запутанными частицами, теоретики старательно прикрываются неравенствами Белла. Но что они такое, как не явное, определенное, однозначное признание именно обмена информацией между частицами? Согласно выводам Белла, если все-таки отказать частицам в праве на такой обмен информацией, то придётся присвоить это право измерителям, датчикам, которые принимают информацию от этих частиц. А в чем, собственно говоря, разница?!
Иначе говоря, любые известные ныне полумистические интерпретации реальных наблюдений или корректных математических выкладок допускают вполне непротиворечивое рациональное объяснение, объяснение, имеющее действительно научное содержание, научное основание.
Здесь, пожалуй, будет весьма уместно привести мнение Александра Шацкого, доктора наук, известного российского астрофизика:
"... я хотел бы коснуться еще одного вопроса: что нужно для того чтобы стать профессиональным физиком-теоретиком и насколько это сложно. Ну, во-первых, к этому делу у человека должно быть призвание еще со средней школы, поскольку учат на теорфизиков в немногих вузах и туда обычно непросто поступить. А потом еще обучение в аспирантуре и защита кандидатской диссертации" [4].
Несомненно, в общем, это верная мысль: необходимо не только призвание буквально с детства, но и длительное обучение, изучение предмета. Но мы обратим внимание на её продолжение:
"Легко ли создать новую теорию? Обычно на это уходит вся жизнь профессионального ученого. ... на исследование общей теории относительности ... потратили свои жизни сотни талантливых ученых ..." [там же].
Это, несомненно, тоже верная мысль, но она не завершена, а завершение её уже не столь оптимистично. Вряд ли можно с этим спорить, но, став во главе науки, у её административных вершин такие ученые чаще всего прикладывают максимум усилий на отстаивание плодов своего труда, подавляя любое научное инакомыслие, либо пытаются присвоить себе эти чужие идеи, например, прикрывая их соавторством. В истории науки таких примеров немало, и нет никаких надежд на то, что их станет меньше.
Однако нужно ли решительно отвергать и предавать анафеме рассмотренные многомировые, многомерные и прочие Черно-Белые интерпретации? Видимо, нет. Для широкой общественности они представляют неплохой литературный интерес. Сказки и фантазии – это прекрасное развлечение. Но для учёных, исследователей чрезмерно примирительное отношение к ним, излишнее научное фантазирование вряд ли уместно. Вопрос буквально в том, понимают ли они вообще абсурдность, ненаучность таких выводов, и как далеко такие представления уводят их от действительно научных исследований. Исследование "на полном серьёзе" всех этих множественных, параллельных миров и их диаграмм в настоящее время выглядит не просто спорно, но иной раз как безудержная схоластика, имеющая такое же отношение к науке, как бросание костей.
Вряд ли кто-то откажется совершить путешествие в собственное прошлое, чтобы повторить те "чудные мгновения" или посетить своего дедушку. Не с криминальной целью, а просто чтобы передать ему новейшие лекарства из нашего времени. К сожалению, это не будет возможно никогда.
1. Strominger A., Black Holes from A to Z. Center for the Fundamental Laws of Nature, Harvard University, Cambridge, 2015
2. Кауфман У.Д., "Космические рубежи теории относительности. М.: "Мир", 1981, 352с.
3. Мизнер Ч., Торн К., Уилер Дж., Гравитация, т.1-3. – М.: "Мир", 1977
4. Шацкий А.А., Кротовые норы: что это – миф, врата в другие миры или математическая абстракция?
http://www.znanie-sila.su/?issue=zsrf/issue_121.html
5. Логические основания многомерных пространств. — Саратов: "АМИРИТ", 2018. – 396 с., цв. илл., ISBN 978-5-907035-29-4
https://www.elibrary.ru/item.asp?id=42690781
https://www.twirpx.org/file/3089642/
http://samlib.ru/p/putenihin_p_w/worlds.shtml
6. Путенихин П.В. Мифы о Белой дыре (первая публикация статьи в интернете – 18.05.2021), URL: https://xn----7sbabno2abl4a9aggb.xn--p1ai/education/belaa-dyra-eto-ten-chernoy-dyry.html
https://каталог-статей.рф/education/belaa-dyra-eto-ten-chernoy-dyry.html (дата обращения 06.08.2021)
Сконвертировано и опубликовано на https://SamoLit.com/