В физике и математике практически невозможно обойтись без систем координат, которые всегда присутствуют в том или ином, явном или неявном виде. В литературе для наглядности во многих случаях используются их различные графические отображения. Несомненно, каждый, интересующийся этими науками, хорошо знаком, как минимум, с декартовыми координатами. Однако в процессе исследований часто появляется необходимость создания различных модификаций координатных систем, поскольку многие явления становятся более наглядными в своих собственных, специфических системах координат. Например, для величин, изменяющихся в широких диапазонах, были разработаны логарифмические системы координат, в которых по оси величина отображалась в виде её логарифма. Двойная логарифмическая координатная сетка, в частности, используется для демонстрации процесса расширения Вселенной после Большого Взрыва. Миллиардные величины расстояний в световых годах и времени в годах заменяются в этом случае шкалами в 15-20 единиц.
Некоторые другие процессы требуют еще более длительных интервалов, поэтому для них разработаны ещё более компактные шкалы. Например, в диаграммах Крускала-Шекереса, в которых применен "часовой принцип" отображения времени, напоминающего часовую стрелку, бесконечный интервал времени сжат в пределах прямого угла. Для этого угловая шкала сделана неравномерной: на её границах равномерные деления времени стремятся к бесконечно малым углам.
При описании космологических явлений, гипотез или решения тех или иных задач общей теории относительности, как можно заметить, чаще всего используются конформные диаграммы, разработанные одним из ведущих математиков и физиков – Роджером Пенроузом. Иногда в литературе указывается двойное авторство диаграмм – диаграммы Картера-Пенроуза. Конформным отображением является такое непрерывное отображение, преобразование координат, при котором сохраняются углы между кривыми и, соответственно, сохраняется форма бесконечно малых фигур.
В этих диаграммах использован все тот же принцип деформации координат. Они отображают пространственно- и времениподобные бесконечности на конечные расстояния, другим словами, отображают бесконечное пространство-время на квадрат конечных размеров.
Собственно говоря, это и является главным достоинством таких диаграмм – бесконечный диапазон изменения координат и изотропный характер светоподобных геодезических. Как в исходной диаграмме Минковского, так и на конформной диаграмме светоподобные геодезические имеют угол наклона ±45° и обозначают радиальные изотропные геодезические [1, с.139]. Это позволяет строить на диаграмме световые конусы и отслеживать поведение всех геодезических, выделяя среди них как времениподобные (вещественные тела), так и пространственноподобные (тахионы).
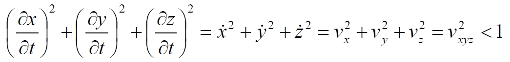
Следует отметить, что световые конусы на диаграммах на самом деле являются световыми треугольниками. На плоских диаграммах конус как таковой изобразить нельзя, а диаграммы с двумя пространственными координатами практически не рассматриваются. В случае светового треугольника все времениподобные геодезические в обязательном порядке должны находиться между сторонами треугольника, образованными двумя световыми лучами, и пересекать его основание t = const. Если же рассматривать трёхмерное пространство, то говорить также следовало бы не о световых конусах, а о световых сферах. В основе всех этих световых ограничителей лежит времениподобное уравнение интервала
![]()
После тривиальных преобразований получаем
![]()
Уравнение означает, что скорость события всегда меньше скорости света c = 1. Графически уравнение тождественно поверхности (линии) касательных к геодезическим событий. Количество слагаемых в уравнении выбирается равным размерности пространства (не считая времени). Уравнение отражает обобщённое понятие светового конуса, то есть, и треугольника, и конуса, и сферы, и относится к геодезическим произвольной формы, к событиям, движущимся с ускорением.
Наименее очевидным является понятие световой сферы, относящейся к наиболее сложному случаю движения событий – одновременно по трём пространственным координатам. На трёхмерной диаграмме время, четвёртую координату непосредственно показать невозможно. Ситуацию позволяют разрешить динамические диаграммы. Это просто набор диаграмм, каждая из которых соответствует определённому моменту времени. Собственно координата времени в явном виде отсутствует и на такой диаграмме, анимации, но вместо неё можно показать световую сферу. В исследуемую точку траектории события помещается центр световой сферы и вектор скорости. Очевидно, направление его совпадает с траекторией, а длина равна скорости в этой точке. Световая сфера имеет радиус c = 1, поэтому вектор скорости не должен выходить за её пределы. Световая сфера охватывает все возможные направления движения события в данной точке, поэтому векторы скорости не являются мировыми линиями.
Следует отметить, что световой конус (треугольник) на диаграммах выполняет главным образом контрольную функцию. Он позволяет визуально определить времениподобный характер геодезических. Правда, непосредственно это относится к инерциальному движению. В случае ускоренного движения световой конус неявно относится не к самой геодезической, а к мысленно проведённой к ней касательной в исследуемой точке. Формально все световые ограничители можно заменить на обобщённый – световой вектор. Именно с ним и должен сравниваться вектор скорости события. На традиционных диаграммах Пенроуза мы мысленно, и, видимо, чаще всего неосознанно проводим единичную касательную к мировой линии события и также мысленно рассматриваем её проекцию на нулевую геодезическую. Если в этой исследуемой точке касательная совпадает с нулевой геодезической, то скорость события равна скорости света.
Можно заметить, что диаграмма Пенроуза-Картера чем-то похожа на диаграмму Крускала-Шекереса (Секереша) и для шварцшильдовской черной дыры не дает никакой принципиально новой информации.
В научных и научно-популярных статьях по физике, космологии можно заметить, что авторы часто при иллюстрации своих выкладок, доводов используют не совсем корректный приём. На приводимые иллюстрации они не наносят обозначения, поясняющие назначение или смысл изображенных на них элементов.
В науке по молчаливому или редко озвучиваемому соглашению принято каждый член приводимых уравнений расшифровывать сразу же после уравнения, если, конечно, эта расшифровка не была сделана недалеко выше. Или же смысл этого члена уравнения, его обозначение не является новым или редко встречающимся, а является общепринятым и полностью соответствует контексту уравнения. Понятно, что для автора всё и так ясно и "общепринято". Но при публикации автор, очевидно, рассчитывает, что его книгу, статью будут читать не только равные ему по уровню подготовки, но и те, кто только приступил к изучению нового материала.
Очевидно, что такое же молчаливое соглашение должно существовать и при оформлении иллюстраций. Тем не менее, и в научной и научно-популярной литературе нередко это "соглашение" нарушается. Поэтому при чтении возникает множество вопросов по ним: то ли иллюстрация что-то поясняет, то ли пытается затемнить, затуманить ситуацию. Под видом глубокомысленного изложения иной раз прячутся сомнительные моменты. Никаких пояснений к изображению, кроме названия, не приводится, и читатель может на свой вкус трактовать его смысл. Более вероятно, что эти трактовки будут отличаться от трактовок автора изображения. Примерно такое же "утаивание" можно разглядеть и в некоторых иллюстрациях в научных работах. При рассмотрении диаграмм Пенроуза, приводимых им, Хокингом и другими авторами в своих статьях, книгах, нередко можно встретить подобные элементы, чрезмерно опирающиеся на догадливость читателя. Но, в сущности, не это главное. Главное состоит в том, что "на догадку" зачастую отправляются довольно сомнительные идеи. Идеи, которые при внимательном рассмотрении оказываются недостаточно обоснованными, а то и ошибочными.
Одно из основных, исходных изображений диаграмм Пенроуза можно найти в его работе, в которой конформная структура бесконечности представлена как диаграмма плоскости (t', r') – рис.1. Помимо равнобедренного прямоугольного треугольника, поставленного на диагональ (гипотенузу), диаграммы Пенроуза нередко имеют и вид ромба ("бриллиант" Пенроуза), поставленного на диагональ квадрата. По сути, диаграммы являются обычной системой координат, и в этом качестве принципиально не отличаются от традиционной декартовой (квадрат) или полярной системы координат (треугольник). Имеющиеся отличия специфичны, но не принципиальны, в них нет антагонизмов. Чаще всего используется полярный вид диаграмм рис.1, на которых из уравнения интервала Шварцшильда присутствует лишь линейная координата, а вращательные, угловые, как это обычно называется, подавлены. Вторая особенность – это конформное преобразование координат с помощью функции арктангенса, вследствие чего всё бесконечное пространство-время вмещается в треугольную или квадратную диаграмму.

Рис.1. Диаграмма Пенроуза для пространства-времени Минковского [2, с.53].
Диаграмма на рис.1 не содержит никаких событий, это чистая или пустая диаграмма. Штриховой линией обозначен центр полярной системы координат, в который обычно помещается центр коллапсирующей нейтронной звезды или Чёрной дыры. Величина радиус-вектора r обозначает в этом случае удалённость событий от этого центра.
Каждая точка диаграммы рассматривается как сфера S2, которая формально отождествляет всё множество точек, находящихся на некотором расстоянии от центра. Считается, что поведение всех точек на этой поверхности одинаково, то есть, диаграммы Пенроуза описывают всё доступное пространство-время вокруг звезды. Принимается, что поведение точек сферы не зависит от значения угловых координат системы, которые могут быть подавлены, то есть считаться равными, например, нулю. На диаграмме радиус-вектор изменяется от нуля до бесконечности и обозначен поверхностями r = const.
В роли второй координаты выступает время, также изменяющееся на диаграмме в бесконечном диапазоне. Время на диаграмме обозначено поверхностями, линиями t = const. Как следствие, любая линия на диаграмме является мировой линией или геодезической, показывает изменение во времени положения отождествлённых точек 2 сферы или объектов относительно центра системы координат.
Довольно скрупулёзный просмотр доступной литературы и источников в интернете показал, что описание собственно диаграмм зачастую весьма скромное, на что указывают и некоторые другие авторы. Рассматривая практические варианты использования диаграмм, читателю придётся о многом догадываться самому. На рис.2 в исходном, "пустом" виде приведен квадратный вариант диаграммы Пенроуза.

Рис.2. "Пустая" квадратная диаграмма Пенроуза
Использованы следующие обозначения: i+ и i– – времениподобные бесконечности будущего и прошлого; i0 – пространственноподобная бесконечность; J+ и J– светоподобная (или нулевая) бесконечность будущего и прошлого. Иначе говоря, точки i0 обозначают бесконечное удаление в пространстве, а точки i+, i- обозначают, соответственно, изображают области далёкого будущего и прошлого. Таким образом, на диаграмме в ограниченных рамках показано всё пространство-время. Во многих случаях рядом со сторонами квадрата пишут дополнительно обозначения вида r = ∞, как показано на рисунке.
Нетрудно заметить, что конформный принцип, способ сжатия, уплотнения координатной сетки, заложенный в диаграммы Пенроуза весьма похож на такой же принцип сжатия в логарифмических диаграммах, в которых оси обычной декартовой системы координат сжаты в логарифмическом масштабе. В этом случае логарифмическому диапазону системы координат, например, в 10 единиц соответствует такой же диапазон обычной декартовой системы координат в 1010 единиц. Но логарифмическая диаграмма, в отличие от диаграммы Пенроуза, не имеет ограничений в сторону возрастания. Как и на логарифмических диаграммах, на диаграммах Пенроуза шкалы осей сильно нелинейные.
На рис.2 линии равных расстояний r = const (горизонтальные дуги) и времени t = const (вертикальные дуги) изображены ярко-бирюзовым цветом. Делениям по осям присвоены единичные значения. Размерность единиц для оси расстояний может быть произвольной: метр, километр, парсек, световой год и тому подобное. В этом случае интервалы по оси времени имеют соответствующую размерность: время на прохождение одной единицы расстояния.
В результате такой дискретизации полей диаграммы выполняется вторая задача – конформное соответствие декартовым координатам. Это значит, что все изотропные (световые) углы в декартовых координатах соответствуют таким же углам на диаграмме Пенроуза в 45о с осями координат. Любая линия, изображенная на диаграмме Пенроуза под этим углом, является светоподобной (нулевой) геодезической, обозначающей луч света.
Повторим: система координат диаграмм Пенроуза отражает лишь одну пространственную координату – удалённость объекта от начала координат. Другими словами, все объекты на диаграмме движутся вдоль одной-единственной линии. Поэтому любые искривленные мировые линии на этой диаграмме означают всего лишь движение объектов (событий) с различными скоростями вдоль одной единственной прямой пространственной линии. Таким образом, любое пересечение линий означает столкновение событий или объектов, их представляющих. При этом каждая точка её помечена как 2 сфера. Наглядно это можно изобразить в виде рис.3. На рисунке окружностями показаны те самые 2 сферы, которые обозначаются точками на диаграмме Пенроуза. Фактически диаграммы Пенроуза, как и диаграммы Минковского, и полярные координаты для пары переменных t, r отображают одномерное пространство.
На рисунке ось t не показана, система рассматривается в некоторый момент времени t = 0. Здесь три окружности изображают три разные сферы, которые и называются 2 сферами. Ни на диаграммах Пенроуза, ни в литературе в описаниях нет упоминаний о других координатах этой системы.

Рис.3. Эквивалентное изображение диаграмм Пенроуза с декартовой координатой. Если отбросить левую часть оси r, то получится эквивалентное изображение диаграммы Пенроуза в полярных координатах
Для трехмерного полярного пространства это две угловые координаты, обычно углы φ и θ. В свою очередь это означает, что все возможные направления радиус-вектора r отождествляются в одно направление. Эта единственная декартова ось изображена на рисунке. Если отбросить отрезок оси от минус ∞ до нуля, то мы получим единственное полярное направление. Другими словами, на декартовых диаграммах Пенроуза расстояния могут быть и положительными и отрицательными, а на полярных диаграммах – только положительными. В последнем случае отрицательная полусфера отождествляется с положительной по правилу "угол падения равен углу отражения". Время может быть положительным и отрицательным.
Отметим, что в литературе на всех диаграммах Пенроуза мировые линии условны, поскольку они отображают лишь последовательность положений в пространстве-времени точек (событий). Чаще всего диаграммы используют для отображения эволюции космологических объектов – Черных дыр или коллапсирующих нейтронных звёзд.
Такое описание в смысле 2 сфер затеняет главный смысл диаграмм Пенроуза: они описывают поведение только отдельных точек тел, вещества только вдоль одной единственной оси. На рис.3 эти точки для полых 2 сфер выделены. Принято, что поведение всех других точек таких сфер на поверхности, внутри нейтронной звезды или Черной дыры, вокруг них – считается тождественным поведению этой единственной точки данной сферической поверхности. То есть, все точки поверхности такой сферы отождествляются, поэтому более правильно называть эти точки на диаграмме не 2 сферами, а точками 2 сфер в одном направлении радиуса.
Конформное преобразование, как известно, сохраняет углы между линиями, изменяя их длины и форму. На диаграммах Пенроуза конформное преобразование координат имеет целью сохранить углы наклона нулевых геодезических. Действительно, и на диаграммах Минковского и на диаграммах Пенроуза эти линии имеет угол наклона 45 градусов в любой точке диаграммы. Как следствие, сохраняется форма световых конусов. Однако легко обнаружить, что при этом никакие другие углы не сохраняются, несмотря на конформность. Если изобразить мировые линии двух неподвижных в пространстве тел и пересекающую их световую линию, то на диаграмме Минковского эти две линии образуют с линией света один и тот же угол 45 градусов. На диаграмме Пенроуза эти линии будут иметь форму вертикальных дуговых линий, наподобие линий сетки r = const. Углы между ними и линией света – разные.
Классы диаграмм Пенроуза
Если рассмотреть различные варианты диаграмм Пенроуза в научной литературе, то по способу изображения горизонта событий их можно обобщенно, условно сгруппировать в четыре класса:
а) ромбовидные декартовы диаграммы, не содержащие горизонтов событий – рис.1 и рис.2. В литературе можно встретить их образное название – "бриллиант Пенроуза". Класс диаграмм этого вида следует рассматривать как основной, первичный, исходный, лежащий в основе всех остальных классов. Как разновидность, к этому классу следует отнести также полярные диаграммы, имеющие вид правой половины декартовых диаграмм;
б) диаграммы для вечной Черной дыры рис.14, обе левые грани которых являются горизонтами событий и присутствуют две сингулярности; на таких диаграммах возникает анизотропия времени;
в) диаграммы для коллапсирующей нейтронной звезды; верхняя часть такой треугольной диаграммы отсечена, имеет слева сверху горизонт событий 2М, а снизу слева – нулевую ось полярных координат, то есть, по существу, является комбинацией первых двух классов; такая диаграмма неизбежно приводит к разрыву геодезических;
г) многоэлементные, содержащие несколько соединенных друг с другом диаграмм остальных классов, например, пространство-время Райснера-Нордстрема.
Следует отметить, что при наличии некоторых технических, геометрических различий, все без исключения координатные диаграммы являются потомками декартовых координат, их своеобразными клонами. После декартовых координат революционным вариантом систем отсчета можно назвать диаграммы Минковского, используемые в математике теории относительности. Эти диаграммы наглядно демонстрируют фундаментальное положение теории относительности – принцип относительности, провозглашающий равенство всех инерциальных систем отсчета. При этом переходы между системами можно трактовать как поворот системы отсчета на некоторый угол.
Рассматриваемые далее диаграммы Пенроуза тоже не составляют исключения, являясь преемниками как диаграмм Минковского, так и декартовых координат. Главными специфическими чертами диаграмм Пенроуза, как указано, является сжатие бесконечно длинных осей времени и расстояния до конечных размеров. При этом для обеспечения преемственности с диаграммами Минковского это сжатие произведено путем конформного преобразования координат. Как мы уже отмечали, это проявляется в том, что светоподобные геодезические сохранили угол наклона в 45 градусов. Любая линия, изображенная в декартовых координатах или на диаграмме Минковского с наклоном в 45 градусов, будет точно такой же прямой, наклоненной под 45 градусов и на диаграммах Пенроуза.
Используя все те же средства, что и на традиционных диаграммах Минковского, мы можем изобразить те же самые мировые линии. Для этого нам нужно определить правила конформного преобразования, правила, по которым обычные, декартовы координаты преобразуются в координаты диаграммы Пенроуза. Очевидно, что прямые линии при этом искривляются, кроме светоподобных геодезических, линий распространения света.
Для такого конформного преобразования координат используется преобразование осей координат с помощью уравнений:
![]()
где u, v – новые значения координат на диаграмме Пенроуза.
Таким образом, диаграмма Пенроуза – это, в сущности, обычная координатная система одномерного пространства. Не следует понимать буквально утверждения, что она отражает пространство 2 сфер (двухмерных сфер), это отражение всего лишь искусственная экстраполяция. Оно ничего не может нам сказать о движении объекта в пространстве параллельно оси r или перпендикулярно к ней.
Можно задаться вопросом, а почему использованы именно эти сильно нелинейные тригонометрические функции? Дело в том, что из множества элементарных функций только тангенс изменяется в диапазоне от минус бесконечности до плюс бесконечности при изменении аргумента в фиксированном диапазоне (от -90 до +90 градусов). То есть, функционально демонстрирует связь между конечным и бесконечным диапазонами. Поэтому изменение бесконечных расстояния и времени, как аргументов, преобразуется в изменение новых аргументов в ограниченном диапазоне.
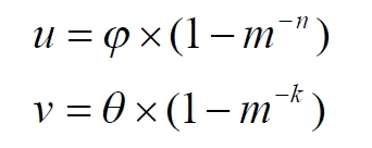
Заметим, что поместить бесконечное пространство-время на диаграмме конечных размеров, подобно диаграмме Пенроуза, можно также с помощью других функций, изменяющихся в конечных пределах при изменении аргумента на бесконечном диапазоне. Такими свойствами помимо арктангенса обладает, например, степенной ряд 2 n (2 в степени минус n) и другие. Создать диаграмму, подобную квадратной диаграмме Пенроуза, можно, например, с помощью следующих показательных функций:
![]()
На рис.4a изображена диаграмма, построенная с использованием этих уравнений. Сразу же видим, что диаграмма визуально ничем не отличается от диаграммы с тангенциальным преобразованием рис.5. Для удобства коэффициент m выбран таким, что координатная сетка имеет более равномерное распределение, чем тангенциальная.

Рис.4. Диаграмма на основе показательной функции
Красная линия нанесена на диаграмму таким же способом, как и ранее: соединением диагоналей смежных координатных квадратов, то есть, эта линия для координат u-v является прямой линией. В данном случае координаты её последовательных точек описываются уравнением прямой (дуги) вида u + v = 11.
После построения полной координатной сетки из дуг, диаграмму следует повернуть на 45 градусов, вследствие чего дуги становятся координатными линиями r = const и t = const, а ставшие наклонными прямые линии становятся нулевыми геодезическими. Изображённая на рисунке рис.4b дуга в этом случае становится координатной линией.
Диаграмма в форме ромба (квадрата)
То, что диаграмма Пенроуза в форме ромба (квадрата) имеет сходство с декартовой системой координат наглядно показано на рис.5. На рисунке изображена обычная система координат Декарта, но оси подвергнуты преобразованию, во многом напоминающем логарифмическую сетку. Главное отличие состоит в том, что логарифмическая шкала имеет бесконечную протяжённость. Здесь же используется преобразование φ = arctg(x), θ = arctg(y). Соответственно, по координатам x и y откладываются не эти величины, а их арктангенсы. При изменении параметров x и y в пределах от минус до плюс бесконечности, каждый из параметров φ и θ изменяется в конечном диапазоне от –π/2 до +π/2.
На такой двухкоординатной диаграмме Декарта можно изобразить в виде плоскости всю бесконечную Вселенную. На рисунке рис.5a явно не видно, что диаграмма (система координат) является изотропной, поскольку на ней традиционные лучи света изображены кривыми линиями, дугами. Координаты лучей света описываются уравнениями y = ±x+C, то есть, единичному приращению координаты x соответствует такое же единичное приращение координаты y. На координатной сетке эти световые линии являются диагоналями единичных координатных квадратов.
Пометим на рис.5a точками abcde несколько смежных диагоналей квадратов координатной сетки. Под квадратом понимается прямоугольник со сторонами x = y = 1, хотя действительно квадратами выглядят только диагональные.

Рис.5. Конформная декартова диаграмма Пенроуза до и после поворота
Тем не менее, аналитически в системе координат x-y рисунка рис.5a любая из таких дуг описывается уравнением y = ±x + C, то есть, является линией с наклоном в 45о к осям этих координат. Это можно отчетливо увидеть по значениям координат точек abcde. Метрически вдоль осей φ и θ откладываются значения углов, но обозначаются эти точки соответствующими величинами арктангенсов.
Такие же последовательности координат (x, y) можно составить и для всех других возможных точек, в нашем случае с целочисленными координатами, для любой подобной же кривой-дуги на диаграмме. Обратив внимание на явную закономерность, запишем уравнения этих линий в более компактном общем виде:
![]()
Смысл этого уравнения кажется достаточно очевидным: это обобщённое уравнение всех возможных кривых линий на рис.5a в системе конформных сжатых осей x и y. Значения φ и θ откладываются вдоль тех же осей x и y (оси коллинеарны), но по их собственной шкале от π/2 до +π/2, в чем, собственно, и состоит конформное сжатие, то есть, диаграмма Пенроуза – это квадрат со сторонами, равными π.
Из уравнения (2) следует, что каждая дуговая линия имеет некий номер C и соответствующее ему уравнение при любых значениях x и y на всей числовой оси. Иначе говоря, константа C является обобщённым обозначение номеров кривых линий. Теперь вспомним, что все эти кривые линии мы построили, соединяя диагонали смежных четырёхугольников. Можно назвать эти линии удлинёнными диагоналями. Но на этом же рисунке видно, что и прямые линии исходной, тангенциальной сетки являются в свою очередь точно такими же удлинёнными диагоналями, если координатной сеткой считать кривые линии, дуги. То есть, наборы прямых и кривых линий являются по отношению друг к другу координатными сетками. Иначе говоря, имея указанную сетку из кривых линий, мы таким же образом можем построить и прямые линии, просто соединяя диагонали смежных криволинейных четырёхугольников.
Если теперь уже дуги рассматривать как координатную сетку, то обнаружится, что номера дуг остались теми же самыми. То есть, дуга, проходящая через координату xy(3,0) и имеющая, соответственно, номер C = 3, точно также проходит через такую же координату rt(3,0) и имеет точно такой же номер C = 3. Вот здесь мы и обнаруживаем конформную взаимосвязь между координатами x-y и координатами r-t, описываемую уравнениями арктангенсов.
В декартовой системе координат на рисунке рис.5 массивы прямых ортогональных линий и криволинейных условно ортогональных линий образуют каждая своеобразную координатную сетку. То есть, на рис.5a в качестве координатной сетки мы использовали прямые линии и построили в этих координатах массивы криволинейных линий. Но и, наоборот, эти кривые линии мы можем рассматривать также как линии координат, сетку. На рисунке рис.5a оси координат r-t и их дуга abcde имеют наклон в 45 градусов.
Хорошо видно, что эта диаграмма Декарта на рис.5a оказалась похожей на квадрат диаграммы Пенроуза рис.2, только без поворота (и с единственной дугой). Если теперь эту диаграмму Декарта повернуть на 45 градусов и добавить остальные дуги, мы получим классическую диаграмму Пенроуза. При этом окажется, что бывшие прямые координатные линии превратились в изотропные нулевые геодезические, линии света, а декартовы линии света – в координатные линии диаграммы Пенроуза рис.5b. Линейные размеры, координаты новой оси r изменяются в некоторых ограниченных пределах (точнее, от –π/√2 до +π/√2), в то же время как каждой из них присваивается значение C:
![]()
Обратив внимание на то, что знак в выражении (2) соответствует ортогональным дугам, раскрыв его и подставив в выражение (3), мы получаем два уравнения конформного преобразования между координатами r-t и x-y:
![]()
Особо отметим обнаруженную интересную особенность рассмотренного метода конформных преобразований координат: поворот сетки позволяет поменять ролями сетку и нулевые геодезические. Нанесение желаемых светоподобных геодезических позволяет по ним построить, получить затем соответствующую координатную сетку. Если теперь нанести на полученную диаграмму все обозначения, соответствующие традиционной ромбовидной диаграмме Пенроуза с бесконечными границами и все дуги, мы получим диаграмму рис.2.
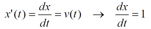
Здесь мы наглядно видим сущность конформного преобразования на диаграммах Пенроуза. На рис.5a вертикальные и горизонтальные прямые линии образуют нелинейную координатную сетку. Мы принимаем скорость света равной единице c = 1. Производная уравнения движения какого-либо объекта – это его скорость. Для света можно записать
![]()
Здесь производная – это тангенс угла наклона графика к вертикальной оси на диаграмме, к оси времени. Условно говоря, график движения света проходит диагонально через "квадратики" координатной сетки. Это демонстрирует линия abcde на рис.5a. Понятно, что при нелинейной градации координатной сетки "квадратики" условны, визуально все они являются прямоугольниками. Тем не менее, график света всё равно проходит диагонально через эти прямоугольники. То есть, линия abcde является линией света. В таком виде она, во-первых, не выглядит конформной, наклонённой под 45 градусов, а, во-вторых, сильно искривлена. Однако между этой линией и координатной сеткой есть однозначная связь: в каждом "квадратике" конформность и прямолинейность линии просматривается отчётливо.
Для нас, в сущности, не имеет значение, как выглядит координатная сетка, для нас важно, чтобы линии света были конформными, изотропными. И здесь следует отметить гениальную догадку Картера-Пенроуза. Они заметили, что координатная сетка выглядит как изотропные линии света, если за оси координат взять диагональные линии. Для этого нужно просто повернуть квадрат на 45 градусов – рис.5b. Теперь бывшие ранее координатной сеткой линии все стали выглядеть как изотропные линии света. Все они наклонены под 45 градусов и строго прямолинейны.
Бывшие ранее линиями света криволинейные линии, в частности, линия abcde сохранили строго однозначную связь с теперь уже прямолинейными линиями, которые теперь можно считать линиями света. То есть, эту криволинейную сетку мы можем, соответственно, рассматривать как координатную. Поставленный на диагональ квадрат теперь отвечает главному требованию: диагональные линии на нём стали изотропными линиями света. Они прямолинейны и имеют угол наклона в 45 градусов.
2M-диаграмма Пенроуза
Из полученной диаграммы мы так же можем сформировать и так называемое максимально расширенное решение Шварцшильда для вечной Чёрной дыры – рис.14 и рис.6f, содержащее сингулярности и параллельную Вселенную. Для этого необходимо заменить обозначения r = ∞ на r = 2m. Понятно, что на оси i0i0 значения r = const также следует заменить на соответствующие. Диаграммы с левым значением 2m назовём 2M-диаграммами Пенроуза.
На диаграммах этого вида сразу же обнаруживается противоречие: на такой диаграмме невозможно корректно произвести разметку координатных линий времени. Иначе говоря, на диаграммах с левым горизонтом событий r = 2m равномерная шкала времени t = const становится невозможна. В первую очередь это связано с тем, что разметка линий r = const потребовала специфического подхода: шаг, расстояние между двумя линиями r = const на всём протяжении диаграммы неизменным сделать невозможно.
Действительно, чтобы обеспечить традиционный вид координатной сетки, мы должны слева и справа диаграммы нанести одинаковое количество дуг r = const. Но слева диапазон расстояний конечен и равен некоторому количеству координатных дуг, а справа – он бесконечен. Какое бы определённое значение для центральной оси r0 = const мы ни выбрали, кроме r0 = ∞, интервал слева также будет конечным. Но главная проблема не в этом. Поскольку левая часть диаграммы – это горизонт событий Чёрной дыры r = 2m, дискретность координатной сетки должна экспоненциально уменьшаться. Чем ближе к горизонту, тем мельче деления шкалы, интервалы между линиями. Это исключает любую возможность установить их конечное количество, которое стремится к бесконечности. Справа от центра диаграммы число координатных линий также стремится к бесконечности, но дискретность этой сетки может быть как постоянной, так и экспоненциально изменяющейся – возрастающей или убывающей. В любом случае пределом этой шкалы должна быть бесконечность.
Можно воспользоваться следующим очевидным способом преобразования на квадратной диаграмме левого бесконечного горизонта в конечный. Это простое вытягивание, смещение линии координатной сетки r = 2m до положения левого горизонта событий. Остальные линии сетки левее этой просто "выталкиваются" за пределы диаграммы рис.6. Однако анализ показал безуспешность этого способа.
Как показано на рисунке стрелкой, координатная времениподобная линия r = 2m скачкообразно, пошагово перемещается сначала в нулевую позицию в центре диаграммы, затем в точки 1m (рис.6b), 2m (рис.6с), 4m (рис.6d), 7m (рис.6e), 10m (рис.6f). При этом в центре диаграммы поочерёдно оказываются координатные линии, соответственно, r = 3m, r = 4m, r = 6m, r = 9m, r = 12m. Разметка сетки при этом сохраняет свой исходный изотропный и конформный вид. Все нулевые геодезические и световые конусы, как ожидается, также сохраняют свои свойства.

Рис.6. Преобразование диаграммы в 2M-диаграмму
Очевидно, что после завершающего перехода координатной линии r = 2m на позицию левого горизонта событий, в центре диаграммы окажется координатная линия со значением +∞. Также очевидно, что никакие геодезические на конечном удалении от горизонта событий в этом случае изобразить на такой диаграмме будет уже невозможно: все они сожмутся в бесконечно тонкую линию вблизи левого горизонта событий. С другой стороны, сдвигаемая влево времениподобная координатная линия r = 2m никогда не превратится в светоподобную линию горизонта событий, в пределе оставаясь от неё на планковском удалении. В этом случае очевидно, что любое изображённое на диаграмме событие или движение не будет иметь никакого отношения к горизонту событий Чёрной дыры. Движение даже к его отдалённой окрестности, например, до r = 1000m будет длиться вечно, только внешне напоминая падение на горизонт r = 2m. Визуально, ввиду мелкой детализации, будет казаться, что эта линия является корректным горизонтом событий (рис.6f), но при увеличении масштаба (как под микроскопом) фактически не будет никакого различия для значений этих промежуточных "горизонтов". В равной степени мы можем поставить возле них вместо r = 2m как r = 2000m, так и r = –∞, характер диаграммы будет в точности таким же. В целом эта диаграмма становится тождественной обычной диаграмме с двумя пространственноподобными бесконечностями i0.
Ещё одной серьёзной проблемой является то, что из-за различной дискретности сетки слева и справа диаграммы, использовать постоянные значения интервалов на всей шкале невозможно. Конечность интервала слева исключает такую возможность. То есть, мы в принципе можем установить шаг делений справа Δr = 1 = const, либо иной другой постоянный шаг. Но на левой стороне диаграммы никакой постоянный шаг невозможен. Получается, что сетка диаграммы должна быть размечена двумя разными шкалами, что, очевидно, весьма неудобно.
Однако есть вариант компромиссной шкалы, единой на всём диапазоне расстояний. Это шкала r, размеченная степенным рядом. Каждому делению шкалы присваивается значение 2+2n, где n – номер линии r имеет значения от ∞ до +∞. На такой диаграмме для наглядности центру может быть приведена в соответствие, например, координата r = 4m, соответствующая номеру n = 1.
В литературе на такие 2M-диаграммы координатная сетка наносится крайне редко, а если и наносится, то условно, без каких-либо обозначений, шкал. При этом светоподобные геодезические и световые конусы используются широко. Поэтому попытка аналитически построить соответствующую координатную сетку вполне оправданна. Выбор уравнения степенного ряда для сетки r = const позволил вполне приемлемо такую сетку построить.
Однако компромиссная шкала имеет собственную проблему. На диаграммах с такой шкалой оказалось невозможным корректно изобразить световые конусы, поскольку на них светоподобные геодезические оказались кривыми линиями. Проблема вызвана тем, что на такой диаграмме невозможна равномерная шкала времени – возникает так называемая анизотропия времени.
Алгоритм построения диаграммы Пенроуза
Исходя из возможных видов координатных параметров в трёхмерном пространстве, можно выделить четыре различные системы координат. Параметрами, задающими однозначное положение объекта в трёхмерном пространстве должно быть три. При использовании в качестве таких параметров линейных отрезков – ρ или углов – φ, можно сформировать четыре группы, четыре набора координатных параметров:
3ρ+0φ (три линейных параметра и ни одного углового). Это обычная декартова система ортогональных координат;
1ρ+2φ – это классическая полярная система координат;
0ρ+3φ – это широко применяемая в астрономии, космологии система координат, которая в такой формулировке явно, детально нигде не описана;
2ρ+1φ – система координат, об использовании которой ничего не известно.
Декартова и полярная системы координат широко известны, и в пояснениях, видимо, не нуждаются. Третья система, космологическая использует, в частности, три опорные, реперные точки, образующие треугольник с известными сторонами. Из этих точек определяются три координатных угла до исследуемого объекта в космосе, в результате чего образуется треугольная пирамида, в которой можно вычислить длины её граней. Может возникнуть ощущение, что на самом деле используется 6 параметров. Но стороны реперного треугольника на самом деле не влияют на величину удалённости объекта в космосе и на расстояния между ними.
Декартова, ортогональная система координат имеет разновидности по используемой градации, разметке осей. Чаще всего это линейные, равномерные градации. Также часто используются оси с логарифмической градацией. Эти системы позволяют отобразить объекты и процессы конечной протяжённости. Рассматриваемые диаграммы Пенроуза являются вариантом декартовой системы координат в обычном смысле этого понятия, шкалы осей которой "скомпрессированы", то есть, сжаты по определенному алгоритму. По аналогии с понятием "логарифмическая" шкала, такой алгоритм можно назвать алгоритмом "тангенсического" сжатия. Понятно, что в данном случае для сжатия шкалы вместо функции логарифм используется функция тангенс, вернее, его обратная функция – арктангенс.
Процесс такого сжатия шкал или процесс конформного преобразования представляет собой, по сути, построения новой шкалы для координат расстояния r и времени t как функции от этих переменных в некоторой исходной системе координат u-v (1).
Иначе говоря, мы строим в системе координат u-v семейство линий, которые образуют новую координатную сетку. При этом из уравнений видно, что новая сетка оказывается заключенной в квадрат со стороной π, поскольку при изменении величин r и t в диапазоне от минус до плюс бесконечности, функции u и v изменяются в диапазоне от минус π/2 до плюс π/2.
Для нанесения координатной сетки сначала для каждого значения t = n, …, 2, 1, 0, 1, 2, …, n строится сплошная линия r = m…m. При этом на диаграмму наносятся дуговые линии, вытянутые от i- к i+. Затем для каждого значения r = m, …, 2, 1, 0, 1, 2, …, m строится сплошная линия t = n…n. При этом на диаграмму наносятся дуговые линии, вытянутые между точками i0.
При таком построении сетка одной из осей будет иметь вид рис.7a. Как видно на рисунке, сетка получилась с наклоном. Для наглядности на сетке показаны действительные оси координат u-v, в которых она построена, и конформные оси t-r, которые и предполагается использовать в дальнейшем. Для приведения масштабной сетки к обычному виду, когда её нулевая ось расположена либо вертикально, либо горизонтально, полученную сетку нужно просто повернуть на 45 градусов против часовой стрелки. В этом случае мы получим сетку оси времени t, как показано на рис.7b. После этого мы можем нарисовать по указанным уравнениям конформного преобразования вторую масштабную сетку и повернуть её теперь на 45 градусов по часовой стрелке. В результате мы получим сетку оси r, как показано на рис.7с. Объединив эти обе сетки, мы получим полную сетку диаграммы, как показано на рис.7d. Теперь мы можем нанести на рисунок все необходимые обозначения, в результате чего будет получена полная "пустая" диаграмма Пенроуза, как показано на рис.7e. Слово "пустая" означает, что на диаграмме нет никаких событий, мировых линий.

Рис.7. Последовательность создания "пустой" диаграммы Пенроуза
Собственно алгоритм построения сеток достаточно прост. Для удобства поворот сеток производится сразу же, в момент их построения. Поскольку алгоритм прост, приведем его в неформальном виде, в виде словесного описания:
Цикл 1: Для каждого –М < t < +M c шагом T
Цикл 2: Для каждого –М < r < +M c шагом R
Вычислить u = arctg(t + r) и v = arctg(t - r)
Повернуть полученную точку a(u, v) на 45 градусов по или против часовой стрелки (зависит от назначения линий сетки – время или расстояния)
Вывести полученную точку а(u, v) на координатную плоскость
Конец Цикла 2
Конец Цикла 1
Буквой М названа условная бесконечность, то есть, число большое, но не превышающее возможностей вычислительной системы (компьютера). Шаг T подбирается из соображений частоты линий на диаграмме. Слишком много линий просто затемнят картину. Из этих же соображений цвет линий сетки выбран ярко-бирюзовым. На его фоне линии другого цвета (мировые линии) просматриваются вполне отчетливо.
Теперь на диаграмму можно вывести любые события и мировые линии. Для этого используется точно такой же алгоритм, но только его "внутренняя часть", без циклов. По требуемой функциональной зависимости мы выводим последовательность точек a(u, v) (с поворотом!) и при необходимости соединяем их отрезками линий. Частота вывода линий – это темп реального хода времени, если мы создаем анимацию. Интервалы, очевидно, должны быть достаточно малыми, чтобы была незаметна ломаная структура линий. На рис.7 дискретность каждой дуговой линий составляет R=800, поэтому они выглядят как гладкие кривые. Для наглядности на анимации добавлена ещё одна линия – линия настоящего t = tнаст. У нас она обычно окрашена в оранжевый (горчичный) цвет. Мировые линии событий могут иметь произвольные цвета. Мировые линии света и тахионов имеют предпочтительные цвета – красный, малиновый.
Динамические диаграммы Пенроуза
Теперь, имея уравнения преобразования координат, мы можем изобразить на диаграмме Пенроуза любую мировую линию. Для этого нам нужно знать только уравнение её движения r(t). Более того, мы можем нарисовать последовательность диаграмм для каждого момента времени по этим уравнениям и соединить их в анимацию, динамическую последовательность кадров. Пример кадра такой анимации для четырех разных мировых линий изображен на рисунке:

Рис.8. Мировые линии на динамической диаграмме. Анимация: http://samlib.ru/img/p/putenihin_p_w/diapen242/fig08.gif
На кадре из динамической диаграммы изображены четыре произвольные мировые линии, имеющие начало в момент времени t = 20, где размерность времени может быть произвольной, как указано выше. Две из линий – светоподобные и соответствуют лучам света, испущенным в точках r = 1 и r = 5, причем размерность расстояния соответствует размерности времени. Другими словами, если расстояние измеряется в световых годах, то время – в годах; если время в минутах, то расстояние – в световых минутах и тому подобное. Для каждой мировой линии на рисунке приведены их уравнения, а на диаграмме цвет линии соответствует цвету названия функции.
Понятно, что в динамике мировые линии могут начинаться в любой точке диаграммы ниже линии настоящего, а заканчиваться должны на ней. Никаких событий выше линии настоящего не может быть, только ожидаемые, предполагаемые, которые могут произойти в будущем.
Как видно на динамической диаграмме, мировые линии пересекаются. Это означает, что испущенные световые лучи или времениподобные объекты (тела) встречаются в одной точке одномерного пространства-времени, двигаясь вдоль одной линии. Столкновение тел или поглощение лучей определяется тем, в каком направлении они движутся, что можно явно вычислить по уравнениям их мировых линий.
В качестве примера попробуем задать уравнение мировой линии такое, чтобы она проходила вблизи центра диаграммы. Как и в полярных координатах, на этой диаграмме изображено всё существующее пространство-время: и видимая Вселенная, и вся Вселенная за видимым горизонтом, от Большого Взрыва и до конца нашей реальности, ничто не может быть изображено вне диаграммы.

Рис.9. Пример мировой линии на динамической диаграмме Пенроуза по уравнению, рассчитанному из заданных условий. Анимация: http://samlib.ru/img/p/putenihin_p_w/diapen242/fig09.gif
Синим цветом изображена мировая линия события по выведенному уравнению, которое приведено в правом верхнем углу диаграммы. Значение уравнения на рисунке вычислено для момента времени t = 1,75. Можно заметить, что на нижнем отрезке траектории тело движется по пространственноподобной траектории, то есть, со сверхсветовой скоростью, как тахион. Проверку на корректность уравнения движения для построения диаграммы должен производить его автор, отслеживая скорость тела. Разумеется, "отсекать" недопустимые значения траекторий может и алгоритм автоматизированного, компьютерного построения диаграмм.
Динамическая диаграмма обмена световыми сигналами
Как правило, чаще всего диаграммы Пенроуза используются в общей теории относительности при рассмотрении неинерциального (с ускорением) движения или движения с учетом гравитационных сил, например, действия космологических Черных дыр. Однако нет никаких препятствий для использования их и для исследования инерциальных систем отсчета – ИСО.
В этом случае следует формировать столько диаграмм, сколько на ней имеется инерциальных участников движения. Рассмотрим случай обмена световыми сигналами теперь уже для двух таких ИСО – А и В. Диаграммы в виде анимаций представлены на рис.10.
На рисунке представлены диаграммы, полностью соответствующие диаграммам Минковского. Слева – ситуация с точки зрения неподвижного наблюдателя ИСО В, справа – ИСО А.
В некоторый момент времени из ИСО B испускается световой сигнал r3, который достигает ИСО A. В этот же момент времени оттуда отправляется ответный световой сигнал r4. Через какое-то время этот сигнал достигает ИСО В.

Рис.10. Диаграммы Пенроуза для двух ИСО, обменивающихся световыми сигналами. Анимация: http://samlib.ru/img/p/putenihin_p_w/diapen242/fig10.gif
Для проверки принципа относительности мы находим явным образом координаты всех известных нам точек излучения и получения сигналов. При этом мы знаем, что отрезки времени в ИСО В сократились по сравнению с отрезками в ИСО А. Мы можем вычислить и точку начала отсчета, когда две ИСО находились рядом, и коэффициент лоренцева сокращения.
После внесения в алгоритм программы этих точек и запуска программы мы видим, что всё в точности соответствует описанной картине в ИСО А. Сначала из ИСО В излучается луч r3, после получения которого в ИСО А излучается ответный сигнал r4. Все точки находятся на мировых линиях участников, никаких разрывов нет.
Таким образом, видим, что в данной задаче диаграммы Пенроуза полностью соответствуют диаграммам Минковского [3], в частности, непротиворечиво демонстрируя картину обмена световыми сигналами. Вместе с тем, ромбовидные диаграммы Пенроуза в этой традиционной области теории относительности явно проигрывают обычным диаграммам Минковского просто по причине своей слабой наглядности и крайне криволинейной графики. Сжатие бесконечной области пространства-времени в рисунок конечных размеров не только не дает никакой новой информации, но и заметно усложняет восприятие, извлечение информации классической.
Произвольные фигуры на диаграмме
Как отмечено, диаграммы Пенроуза принципиально ничем не отличаются от традиционных, классических декартовых систем координат. Поэтому их можно использовать таким же образом для любых графических построений. Поскольку координатная сетка на диаграммах Пенроуза криволинейная, такие фигуры и графики выглядят довольно-таки экзотически – рис.11. Координатная сетка, линии погашены.
Например, отрезок синусоиды t = sin(r) примерно в 10-12 периодов выглядит как сигнал, амплитуда которого сначала возрастает, затем убывает, а частота, наоборот, сначала уменьшается, затем возрастает. При этом форма синуса непривычно искривлена.
Более привычный вид имеет гипербола t = 1/x. Два отрезка ветвей гиперболы в первом и третьем квадрантах отчетливо напоминают дуги окружности, но это гиперболы.
Еще более непривычный вид имеет отрезок параболы t = x2. На довольно незначительном интервале изменения аргумента парабола имеет каплевидную или линзообразную форму.
Понятно, что на диаграмме можно изобразить все эти графики функций полностью – в диапазонах изменения аргумента и функции от минус до плюс бесконечности.

Рис.11. Изображение на диаграмме Пенроуза графиков функций – sin(r),
гиперболы 1/r и параболы r2
Добавим, что универсальными изобразительными свойствами обладают также и другие релятивистские системы координат, например, координаты Крускала. В этих координатах размеры фигур ограничены рамками полотна, координатной сетки. Для примера на рисунке рис.12d g также условно изображены традиционный гиперкуб – тессеракт, синусоида и секундомер, который аналитически, в уравнениях представляет собой обычную окружность.

Рис.12. Фигуры на диаграммах Крускала
Очень интересно на диаграмме Пенроуза выглядит наипростейшая геометрическая фигура – круг. На рис.13 он изображен в виде стилизованного секундомера, который приобрел довольно забавные очертания, деформируясь в некоторое подобие квадрата.

Рис.13. Диаграмма Пенроуза для вращающейся в круге стрелки. Анимация: http://samlib.ru/img/p/putenihin_p_w/diapen242/fig13.gif
Трудно представить, но на рисунке действительно изображен круг с вращающейся внутри стрелкой. Особенно забавно картина выглядит на анимации. В процессе движения по окружности стрелка постоянно изгибается – образуя горб то по ходу движения, то против него. И только в четырех точках своей траектории стрелка превращается в прямую линию – на светоподобных траекториях.
Как и в случае диаграммы с бесконечными горизонтами, 2М диаграмма так же является просто координатной системой, ничем принципиально не отличающейся от декартовой. Поэтому и здесь мы вполне можем рассматривать в качестве координат не время и радиус, а обычные декартовы координаты x-y. Однако в этом случае возникает интересный вопрос. На таких 2М диаграммах Пенроуза имеется обнаруженная ранее право-левая анизотропия, полярность времени [4]. Интересно выяснить, каким образом она проявится в этом координатном случае? Каждому значению x, согласно анизотропии диаграммы, должны соответствовать два разных значения y. Для уравнений "прямых" линий всё, вроде бы, останется по-прежнему – величина зависит от скорости изменения функции. Но как быть с единичной точкой, об истории которой ничего не известно?
Допустим, нам нужно изобразить два отрезка с одинаковыми координатами концов. Очевидно, что точки отрезка будут изображаться последовательно, а это уже движение, имеющее и направление и скорость. Вот его и можно использовать. Однако это не обязательно. Если использовать оба значения параметра анизотропии m, то будут изображены два симметричных, зеркальных объекта. Эти объекты зеркальны относительно оси m = 0, а их диаграммные координаты однозначно определены соответствующими параметрами анизотропии m и n.
Таким образом, имея функции преобразования, можно построить любую геометрическую фигуру. Давайте построим "секундомер", такой же, как на диаграммах с бесконечными горизонтами рис.13.
Построение "секундомера" можно произвести симметрично как с пересечением двух изображений друг с другом, так и без пересечения, когда каждое из изображений будет полностью находиться в одной из областей – выше или ниже оси m = 0. Мы построим только одно полноразмерное изображение каждого из выбранных объектов для одного из значений знака m – рис.14.
На рисунке изображены три объекта – две окружности, внутри которых вращаются стрелки – указатели, наподобие секундомеров, и группа из концентрических окружностей. Отметим со всей определенностью, что на рисунке изображены только окружности (и пара стрелок – указателей). Левая, каплевидная синяя окружность имеет радиус R = 0.6, а центр её расположен в точке с координатами x = 3, y = 0.1. Длина указателя или радиус окружности, которую описывает его конец, равны 0.53. Параметр преобразования m имеет положительный знак. Все геометрические параметры фигур, их размеры выбраны такими, чтобы они занимали достаточно большую область рисунка.

Рис.14. Секундомеры на координатной 2М диаграмме. Анимация: http://samlib.ru/img/p/putenihin_p_w/diapen242/fig14.gif
Обратим внимание, что диаграмма явно "чувствует" знак параметра, поскольку в данном случае указатель секундомера на анимации движется в правильном направлении, по часовой стрелке. Однако, если мы принудительно поменяем знак параметра, то картинка просто перевернётся, зеркально отразившись от оси x. В этом случае направление движения указателя также изменится на противоположное.
Этот переворот виден на правой стороне диаграммы. Фрагмент отдаленно напоминает картину "Твердость памяти" Сальвадора Дали с "плавящимися часами". У нас на диаграмме, как и выше, так же изображен круг, в котором вращается стрелка – указатель. Параметры окружности: радиус R = 5.66, а центр имеет координаты x = 10, y = 0. Длина указателя или радиус окружности, которую описывает его конец, равны 5,6. Знак параметра m выбран отрицательным и диаграмма это вновь "почувствовала", направив вращение указателя против часовой стрелки. Если для этой окружности мы выберем знак параметра m положительным, то "секундомер" просто отразится зеркально от оси x, а указатель будет вращаться, как положено – по часовой стрелке. Слева внизу диаграммы для наглядности изображена группа концентрических окружностей.
Все визуальные деформации связаны исключительно с криволинейностью системы координат 2М диаграммы.
Заключение
Итак, основная, фундаментальная сущность диаграмм Пенроуза состоит в отображении на квадрат конечных размеров бесконечного одномерного пространства-времени. По сути, это обычная координатная система одномерного пространства, поскольку время не является пространственной координатой. Используя все те же средства, что и на традиционных диаграммах Минковского, мы можем изобразить те же самые мировые линии.
Используя уравнения преобразования координат, мы можем изобразить на диаграмме Пенроуза любую мировую линию, график вообще любой функции целиком. Для этого нам нужно знать только уравнение её движения r(t). Более того, мы можем нарисовать последовательность диаграмм для каждого момента времени по этим уравнениям, которые затем можно соединить в динамическую последовательность кадров, в анимацию.
Литература
Хокинг С., Эллис Дж., Крупномасштабная структура пространства-времени. М.: «Мир», 1977.
Хокинг С., Пенроуз Р. Природа пространства и времени. — Ижевск: НИЦ "Регулярная и хаотическая динамика". 2000. 160 с.
Путенихин П.В., Динамические диаграммы Минковского на примере обмена световыми сигналами, 2014, URL:
http://samlib.ru/p/putenihin_p_w/ddm-light.shtml
Путенихин П.В., Показательная функция для 2м-диаграммы Пенроуза, 2019, URL:
http://samlib.ru/editors/p/putenihin_p_w/exp33.shtml
Путенихин П.В. Диаграммы Пенроуза. Анализ и критика. — Саратов: "АМИРИТ", 2017. – 176 с., цв. илл., URL: https://www.twirpx.org/file/3078810/
https://www.elibrary.ru/item.asp?id=42733192
![]()
Сконвертировано и опубликовано на https://SamoLit.com/