The radius of the observable universe and the horizon of the universe
Путенихин П.В.
Оглавление
Радиус наблюдаемой Вселенной и горизонт Вселенной
Движение по вытягивающейся трассе
Анализ погрешностей алгоритма
Радиус наблюдаемой Вселенной
Горизонт видимости Вселенной
Наблюдаемый закон Хаббла
Аннотация
Одним из основных результатов астрономических наблюдений являются красное смещение и яркость различных объектов во Вселенной. По этим данным определяют расстояние до наблюдаемого объекта и скорость его удаления. Тем не менее, вопрос остаётся не решённым: что следует принять за действительную "удалённость галактики"?
One of the main results of astronomical observations is the redshift and brightness of various objects in the Universe. These data determine the distance to the observed object and the speed of its removal. Nevertheless, the question remains unresolved: what should be taken as the actual "remoteness of the galaxy"?
Ключевые слова: сверхновая, галактика, скорость света, горизонт Вселенной, радиус наблюдаемой Вселенной, красное смещение, движение фотона, сфера Хаббла, диаграмма Хаббла, параметр Хаббла
Радиус наблюдаемой Вселенной и горизонт Вселенной
Одним из основных результатов астрономических наблюдений являются красное смещение и яркость различных объектов во Вселенной. По этим данным определяют расстояние до наблюдаемого объекта и скорость его удаления. В отношении этих наблюдений в литературе часто упоминается обстоятельство, которое обычно формулируется как "взгляд в прошлое". Если некоторая галактика, сверхновая находится на большом удалении, свет от неё движется до Земли какое-то достаточно большое время. В момент получения наблюдателем этого света галактика находится уже на другом, большем удалении, чем в момент вспышки. Возникает закономерный вопрос: что следует принять за "удалённость галактики"?
Очевидны три варианта. Первый вариант – удалённость сверхновой в момент вспышки. Эту удалённость и следует считать действительной, наблюдаемой её удалённостью, хотя и определённую с задержкой во времени. Вариант второй – удалённость галактики в момент получения света на Земле, то есть, удалённость после увеличения расстояния между сверхновой и Землёй. Наконец, третий вариант, это видимая, кажущаяся удалённость до точки вспышки в момент получения от неё света. Это весьма интересный вариант, поскольку он учитывает реальную скорость света, связанную с непрерывным расширением пространства. Пусть в момент получения света от сверхновой её реальная физическая удалённость возросла, например, в 2 раза по сравнению с исходной, в момент вспышки. Яркость этой вспышки будет видна на Земле такой, будто сверхновая находится немного ближе, чем эта реальная удалённость.
Самой большой удалённостью является вторая, поскольку за время света в пути пространство между звездой и Землёй все время возрастало. Третья удалённость учитывает время света в пути буквально, поэтому несколько условна, хотя и принимается, что видимая яркость галактики в точности соответствует её удалённости.
В пользу первого варианта удалённости сверхновой свидетельствует то, что фотоны, несущие информацию о ней, своеобразная фотография, удаляются от галактики сразу же после взрыва и становятся полностью независимыми от неё. Если, например, вспышка имеет синий цвет, а после неё, через какое-то время галактика становится красной или вообще гаснет, то на Земле будет получена именно "синяя" фотография. Именно этот поток фотонов и будет нести информацию об удалённости и скорости удаления галактики в момент вспышки. Это самая последняя информация о галактике на текущий момент времени, что особенно отчётливо видно, если галактика находится на горизонте видимости. В этом случае никакая новая информация о галактике после вспышки более не будет доступна.
Вместе с тем яркость вспышки непосредственно не является показателем удалённости галактики в момент её регистрации. Это связано с тем, что в процессе движения фотоны проходят путь меньший, чем окончательная дистанция между звездой и Землёй, в момент их регистрации. Собственно говоря, это довольно очевидно, поскольку в процессе их движения пространство непрерывно возрастает как между потоком фотонов и Землёй, так и между потоком и звездой. В результате и возникает это весьма интересное явление: фактический путь, пройденный фотоном от места вспышки до Земли, будет меньше, чем удалённость галактики от Земли в момент его регистрации. Яркость вспышки сверхновой определяется дистанцией, которую фотоны прошли реально. Эта дистанция, путь является фактически наблюдаемой удалённостью, поэтому на самом деле яркость вспышки с Земли будет видна несколько большей, чем она была бы в случае стационарной Вселенной.
Движение по вытягивающейся трассе
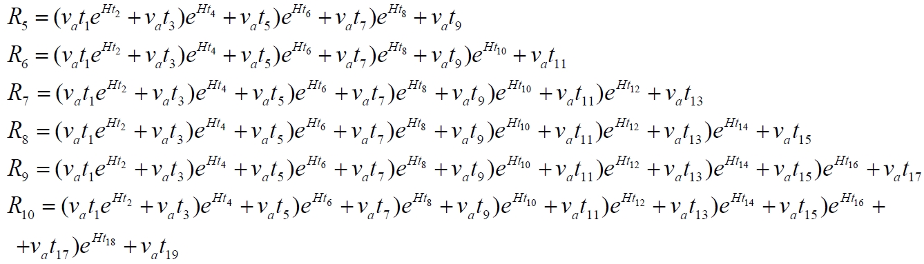
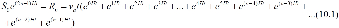
Рассмотрим это явление подробнее. Для наглядности и упрощения вычислений вместо сверхновой и расширяющегося пространства Вселенной рассмотрим автомобиль, движущийся по непрерывно вытягивающейся трассе (рис.10.1). Пусть авто движется со скоростью vа по резиновой дорожке, которая растягивается, увеличиваясь за каждый фиксированный интервал времени Δt = t в еHt раз, где H – некоторая постоянная. В начальный момент времени авто находится на удалении S0 от конечной точки, от финиша. Условно принимаем, что движение авто и расширение дорожки происходят поочерёдно. Находим, что за первый интервал времени авто переместится от начальной точки на расстояние
![]()
Пусть авто движется со скоростью vа по резиновой дорожке, которая растягивается, увеличиваясь за каждый фиксированный интервал времени Δt = t в еHt раз, где H – некоторая постоянная. В начальный момент времени авто находится на удалении S0 от конечной точки, от финиша.

Рис.10.1
Условно принимаем, что движение авто и расширение дорожки происходят поочерёдно. Находим, что за первый интервал времени авто переместится от начальной точки на расстояние
![]()
После этого отрезок R0, путь, пройденный по дорожке, испытывает указанное расширение. Таким образом, за следующие два интервала времени удалённость авто от начальной точки увеличивается до нового значения
![]()
За четвёртый и пятый интервалы времени расстояние позади авто вновь возрастает, теперь уже до величины
![]()
Далее этот новый формально пройденный интервал R3, длина дорожки "позади" за следующую пару интервалов времени возросла до следующего нового значения
![]()
Здесь и в дальнейшем открывающие скобки в левой части уравнения мы не будем дублировать, чтобы не перегружать уравнение, просто помним, что число крайних левых скобок равно числу правых скобок.

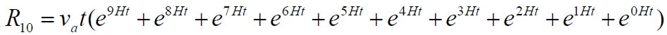
Для удобства, наглядности ограничимся на этом этапе десятью слагаемыми. Теперь для ещё большей наглядности уравнения последовательно раскроем скобки:

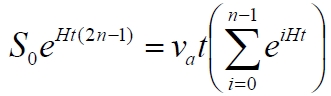
Число слагаемых, как мы и рассчитывали, равно 10, но число интервалов времени больше – 19. Понятно, что общее время движения T равно сумме всех интервалов Δt = t, поэтому можно записать T = (2n-1)t. Здесь мы учитываем, что все интервалы времени равны. Выносим общий множитель за скобки, а последнее слагаемое преобразуем в однотипную форму, добавив ему эквивалентный множитель, равный единице:
![]()
Для лучей видимости закономерности меняем последовательность слагаемых на противоположную:
![]()
Закономерность очевидна, поэтому можем записать уравнение в общем виде для любого количества интервалов времени и числа слагаемых:
![]()
Рассмотрим особый случай: авто достигает конечной точки, финиша. Это значит, что рассматриваемое уравнение, сумма ряда будет равна увеличившейся по указанному закону исходной дистанции, растягивающейся трассы. Поскольку начальная удалённость финиша была S0, то через время T она увеличится до значения:
![]()
Рассматриваемое условие запишем в виде:
![]()
Перепишем правое равенство немного короче, в одну строку:
![]()
Для графических построений удобнее немного иная форма записи правой части уравнения, в виде, напоминающем исходное уравнение со множеством скобок. Для краткости оставим справа только слагаемые в скобках:
![]()
Теперь выделим последовательно множители в правой части

Замечаем закономерность и записываем окончательно:
![]()
С множителем vat внутри скобок это уравнение имеет вид:
![]()
Для исключения ошибок, для проверки точности уравнения выполняем обратное действие, раскрываем скобки:

То же самое для уравнения с множителем vat внутри скобок:

Видим, что последовательности явно ведут к верному результату. Однако для большей уверенности рассмотрим, как и выше, вариант с числом слагаемых n = 10:

Вновь, заметив закономерность, записываем для n=10:
![]()
Проверяем ряд, как и ранее, раскрывая скобки:

Сравниваем этот прямо и обратно преобразованный ряд с исходным рядом слагаемых (10.2):
![]()
Видим, что эти ряды для n = 10 совпали, поэтому переписываем правую часть уравнения (10.2) в общем виде:
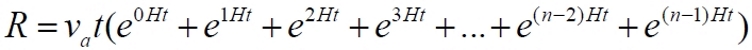
![]()
Или в полном виде:

Здесь число слагаемых (с учётом единичного слагаемого) равно 10. Для произвольного числа слагаемых уравнение (10.1) закономерно можно записать в следующем виде:

То же самое с множителем, внесённым в скобки:
![]()
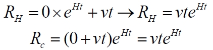
Мы рассматривали движение авто на вытягивающейся дорожке. Однако все приведённые рассуждения полностью соответствуют и движению фотона от некоторой сверхновой к Земле в расширяющемся пространстве Вселенной. Поэтому в итоговых уравнениях мы можем просто заменить скорость авто скоростью света:

Уравнение (10.3) показывает действительную величину удалённости фотонов от сверхновой, равенство (10.4) отражает равенство этой удалённости и конечной удалённости Земли от сверхновой. Это условие мы заложили в постановке задачи. Но из них следует и провозглашённый в задаче вывод. Всё движение, и авто и фотонов, происходило в течение времени T, что соответствует, в свою очередь, длине пройденного пути с точки зрения движущегося объекта – авто или фотонов. Действительно, на спидометре авто за это время при заданной скорости будет показан вполне определённый пройденный им путь:
![]()
Соответственно, и по условному "спидометру" фотонов или с точки зрения некоторого не менее условного внешнего наблюдателя в их системе отсчёта, фотоны пройдут путь:
![]()
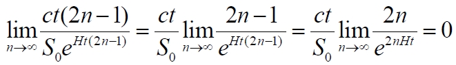
Это и есть наблюдаемая удалённость сверхновой. Из этого уравнения следуют два вывода. С увеличением времени движения отношение наблюдаемой удалённости сверхновой к её действительной удалённости на момент измерения стремится к нулю:
![]()
Наблюдаемая удалённость сверхновой численно равна времени от её взрыва до момента её наблюдения (при с = 1).
Анализ погрешностей алгоритма
Приведённый алгоритм является пошаговым, точность вычислений которого, очевидно, зависит от дискретности этих шагов. Чем меньше интервал времени шага, тем, видимо, точнее результат вычислений. Кроме того, рассмотренное вычисление пути возможно в двух вариантах первого шага, что, возможно, также влияет на итог вычисления, и, фактически, на его точность. Рассмотрим эти два варианта для оценки их точности.
Пусть, как и выше, скорость авто равна va, а общее время в пути ограничим временем T = 2 = 2t. Также примем удлинение "резиновой" трассы по экспоненте – увеличение в eHt раз за каждую единицу времени.
Вариант 1. От начальной дистанции r0 за время t = 1 сначала прошёл свой путь авто. И только после этого за следующий интервал времени t = 1 этот путь экспоненциально удлинился:
![]()
Вариант 2. За первый интервал времени t = 1 сначала экспоненциально удлинилась исходная дистанция, и только затем свой путь прошёл авто за оставшееся время t = 1:
![]()
В первом варианте авто прошёл большее расстояние:
![]()
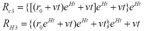
Теперь рассмотрим следующие два интервала времени, то есть, увеличим общее время в пути до T = 4. Начальным, исходным путём на этих дополнительных интервалах являются, соответственно, Rc и RH.

Преобразуем, раскрывая скобки и сокращая:

Здесь уже просматривается закономерность. Проверим ещё один этап движения, третий с общим временем, увеличенным до T = 6. В роли r0 теперь выступают Rc2 и RH2.
![]()
Вновь вычисляем разницу:

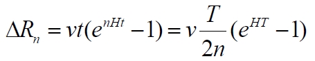
Теперь закономерность видна явно. Очевидно, что для общего времени движения T = 2nt, то есть, через n-пар интервалов времени разница будет:
![]()
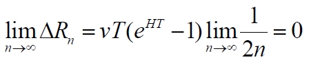
При уменьшении длительности интервалов, то есть, при увеличении их числа, разница стремится к величине:
![]()
При фиксированном значении времени T пределом является ноль, то есть, варианты эквивалентны:
![]()
Заметим, что это можно обнаружить изначально. В случае r0 = 0, то есть, если движение начинается из начала координат, второй вариант сразу же переходит в первый:

Следует признать, что алгоритм вычислений несколько условный, приближённый, поскольку подразумевает всё-таки поочерёдное удлинение пройденного интервала и прироста интервала за счёт движения авто. Вместе с тем, оба уравнения при большом значении числа интервалов n и при некотором фиксированном значении общего времени T движения дают одинаковый результат. Последовательность приростов дистанции не влияет на результат, что следует рассматривать как корректность алгоритма вычислений и его приемлемую точность.
Радиус наблюдаемой Вселенной
В литературе зачастую приводятся довольно спорные определения радиуса наблюдаемой Вселенной. Предлагаем такой вариант: радиусом наблюдаемой Вселенной следует считать расстояние на момент начала расширения пространства, расстояние до самой дальней галактики, которую мы в принципе можем наблюдать (или наблюдаем) сегодня. Ключевые условия – начало и сегодня. Это означает, что в каждую эпоху этот радиус различный, а сверхдальние галактики, которые мы сегодня пока наблюдать не можем, в более позднее время всё-таки станут для нас видимыми. Принципиальное отличие нашего определения от традиционного (горизонт частиц), как видим, состоит в том, что это исходная удалённость объекта, а не та, на которой он находится в наши дни. Здесь важным является то, что называть наблюдаемой нынешнюю удалённость этого самого удалённого объекта неверно: как он выглядит сегодня, нам не только неизвестно, но и в общем случае не может быть определено никогда.
Для того чтобы вычислить величину радиуса наблюдаемой Вселенной, сформулируем задачу в следующем виде: какой должна быть удалённость сверхновой, чтобы за время существования Вселенной свет от неё достиг Земли. Найти исходную удалённость самой дальней сверхновой, которая может быть видна в наши дни, мы сможем, используя выведенное уравнение (10.4). Для этого сначала вычисляем путь, пройденный светом за время существования Вселенной, затем по этому времени определяем и исходную удалённость сверхновой.
На следующей диаграмме, в системе отсчёта сверхновой показаны графики движения, удаления Земли от галактики, скорость её удаления и графики реального движения фотонов (красная линия) и видимого с Земли света (красная штриховая линия) – рис.10.2.
График движения света от начала расширения пространства, света, испущенный сверхновой показан на рисунке красной линией R_exp. Экспоненциальная форма графика движения фотонов вызвана тем, что к скорости фотона постоянно добавляется скорость "носителя света" – расширяющегося пространства.
Как видим, на момент получения света на Земле галактика будет находиться от неё на удалении в 24 млрд. световых лет. Начальную удалённость галактики от Земли, при которой в процессе расширения пространства она удалится на это же расстояние, определим обратным вычислением по уравнению движения, показанного синим графиком R. Находим, что это 8,85 млрд. световых лет. Галактика, находившаяся в начале расширения пространства именно на этом удалении от Земли, удалится от неё на 24 млрд. световых лет, на такое же расстояние, на какое фотоны вспышки удалились от неё.

Рис.10.2
Понятно, что это самая дальняя галактика на момент начала расширения пространства, свет от которой смог достичь Земли за 14 млрд. лет (время отмечено вертикальной штриховой линией T14). Это так, поскольку мы рассмотрели именно самое большое расстояние, какое смог пройти свет за это время. При этом видна галактика будет так, будто она находится не на расстоянии 8,85 или 24, а на расстоянии 14 млрд. световых лет (кратко – Гсл – Гига-световых лет). Об этом свидетельствует тонкая красная штриховая линия Rco – график кажущегося движения света, то есть, без учёта космологического расширения пространства, согласно (10.3). Это означает, что время движения света определяется не по теоретической (8,85 Гсл) или конечной (24 Гсл), а по наблюдаемой удалённости его источника, определяемой в свою очередь по его яркости.
Графики на диаграмме создают впечатление, будто фотоны прошли более длинный путь R_exp, поскольку график его движения, красная линия R_exp завершена в точке с удалённостью в 24 млрд. световых лет, а штриховая Rco – учитываемая, наблюдаемая удалённость источника фотонов – в точке 14 млрд. световых лет. Однако выше мы вывели уравнение движения фотонов вспышки и пришли к выводу, что реально фотоны прошли всё-таки меньший путь (здесь – 14), чем конечная удалённость (24) сверхновой от Земли. На самом деле в этом нет противоречия, поскольку меньший путь, который мы вычислили, и есть путь Rco, показанный штриховой линией. Красная линия R_exp является реальным графиком движения фотонов со сверхсветовой скоростью, указывающим их удалённость во времени от точки взрыва сверхновой. В наши дни график завершается в точке наблюдения на Земле, в 24 млрд. световых лет. Однако за это же время в 14 млрд. лет по собственным часам фотонов, они прошли путь, изображённый штриховой линией Rco – это фактически пройденный фотонами путь – 14 млрд. световых лет. Иначе говоря, для фотонов вся трасса как бы делится на две части: одна впереди, перед ними, а другая – позади них. Первую трассу, впереди фотоны проходили уже после того, как она испытала экспоненциальное удлинение. Вторая часть трассы, позади них расширялась уже после того, как фотоны ушли вперёд. Поэтому общая длина трассы R_exp оказывается больше пути фотонов Rco на величину удлинения за время движения после того, как фотоны сместились вперёд. Буквально это означает, что фотоны удалились на 24 млрд. световых лет, пройдя при этом путь только в 14 млрд. световых лет. Можно интерпретировать это и так, будто сферический фронт света не просто расширяется в пространстве, а ещё и переносится вперёд, перемещается "в замороженном виде" к наблюдателю.

Рис.10.3
Пересечение синей линии R, графика удаления Земли от сверхновой, с красной R_exp, графика удаления фотонов от сверхновой, означает, что Земля и фотоны находятся на одном и том же удалении от сверхновой, в одной и той же точке пространства, то есть, фотоны достигли наблюдателей на Земле.
Жёлтая линия v – это скорость Земли относительно сверхновой: видно, что эта скорость удаления в наши дни уже превысила 1,7 скоростей света (график показан в масштабе с 10-кратным увеличением).
Если сверхновая находится в начальный момент времени t = 0 на большем удалении, чем 8,85 млрд. световых лет, но меньшем, чем горизонт видимости Вселенной, то с Земли она будет видна только в будущем, в более позднее время. Например, свет от галактики, находившейся на удалении около 9 млрд. световых лет, Земли пока не достиг. На рисунке видно, что линии удалённости галактики (синяя) и светового потока от взрыва сверхновой (красная) явно пересекутся, но не в наши дни – 14 млрд. лет, а позднее.

Рис.10.4
Отметим, что расстояние R_exp между фотонами вспышки и наблюдателем на Земле R постоянно уменьшается. Если в начальный момент расстояние между звездой, фотонами её вспышки и Землёй было 9 млрд. световых лет, то через 5 млрд. лет оно уменьшилось до ~ 6,8 млрд. световых лет, а через 10 млрд. лет – до ~ 4 млрд. световых лет.

Рис.10.5
Если же в момент вспышки сверхновая находилась на меньшем удалении, чем 8,85 млрд. световых лет, то есть, ближе радиуса наблюдаемой Вселенной, то свет от неё уже был получен в прошлом. Например, на рисунке 10.5 показана звезда, которая в начальный момент находилась от Земли на удалении в 1 млрд. световых лет. Наблюдателем на Земле получен свет от вспышки этой сверхновой, произошедшей 4 млрд. лет назад. Также в прошлом был получен и свет от вспышки, примерно 2 млрд. лет назад.
Сегодня эта галактика находится от Земли на расстоянии в ~2,7 млрд. световых лет, а свет от неё наблюдается в виде старых остатков от взрыва. Виден этот свет от остатков сверхновой в наши дни на удалении 2,5 млрд. световых лет, хотя, как указано, остатки сверхновой реально находятся на удалении в ~2,7 млрд. световых лет.
Приведённые выкладки верны только для галактик, которые находятся ближе горизонта видимости Вселенной, поскольку более удалённые галактики нам не видны.
Горизонт видимости Вселенной
Здесь нам следует внести уточнение понятию горизонта видимости Вселенной и его соотношению с радиусом наблюдаемой Вселенной. Горизонтом видимости Вселенной (в литературе – горизонт событий) следует считать исходное, в начальный момент расширения расстояние до самой дальней галактики, которую мы можем наблюдать в принципе, пусть даже и через бесконечно большое время. Физически горизонтом видимости Вселенной является радиус сферы Хаббла, который определяется параметром Хаббла и изменяется при его изменении:
![]()
Происходит этот радиус из закона Хаббла при световой скорости удаления галактик:
![]()
Здесь вновь уточним, что истинной, действительной удалённостью считаем исходное расстояние до галактики, сверхновой в момент вспышки. Из всех рассмотренных удалённостей эта – наименьшая. В момент получения наблюдателем на Земле света от этой галактики она находится уже на существенно большем удалении. Например, галактика, сверхновая, находившаяся от Земли в момент вспышки на удалении в R0 = 13,98 млрд. световых лет, в момент её наблюдения с Земли при H0 = 1/14 будет находиться уже на удалении ~ 13 триллионов световых лет, а увидеть её можно будет лишь через 96 млрд. лет:

Рис.10.6
Из-за недостаточной детализации на рисунке не видно, что графики R и R_exp пересеклись в точке с координатами 13 трл. световых лет, 96 млрд. лет. На самом деле это, действительно, точка пересечения графиков, в которой график R_exp из области ниже графика R перешёл в область выше него. Скорость удаления галактики от Земли в этот момент превышает 900 скоростей света. Можно догадаться, что при этих же условиях, сверхновая с R0 = 13,99 будет вообще на невообразимом удалении от Земли, хотя к этому моменту уже и солнечная система прекратит своё существование.
Три вертикальные штриховые линии на рисунке отмечают время наблюдения сверхновых: R0 = 8,85 наблюдаема ныне, в 14 млрд. лет от начала расширения Вселенной; R0 = 13,9 будет, соответственно, наблюдаема через 70 млрд. лет; R0 = 13,98 будет наблюдаема через 96 млрд. лет. Графики движения на рисунке соответствуют этой начальной удалённости сверхновой. Если же галактика находится на удалении R0 > 14, она никогда не будет наблюдаема с Земли. Красная тонкая штриховая линия Rco показывает, что наблюдения будут соответствовать удалённости сверхновой, равной пути света за время его движения от звезды до Земли. В случае, изображённом на рисунке, это ~ 96 млрд. световых лет. Хотя звезда находится в этот момент на удалении 13 трл. световых лет, видна она удалённой на 96 млрд. световых лет, то есть, в 135 раз ближе.
Связь между радиусом наблюдаемой Вселенной и горизонтом видимости Вселенной заключена в том, что горизонт видимости Вселенной является предельным значением радиуса наблюдаемой Вселенной. Это хорошо видно на графике зависимости радиуса R0 самой дальней наблюдаемой галактики от времени, через которое свет от неё достигнет наблюдателя на Земле – рис.10.7.
Подчеркнём, речь идёт именно о сверхновой, которая может быть наблюдаема в принципе, свет от которой обязательно достигнет наблюдателя на Земле. На рисунке видно, что график асимптотически стремится к величине 14 млрд. световых лет, равной радиусу горизонта видимости Вселенной, величине, обратной параметру Хаббла H0, использованному в наших построениях. По мере увеличения начальной удалённости R0 мишени (Земли) от сверхновой, возрастает время T, за которое свет сможет догнать мишень. Например, согласно графику, за время 14 млрд. лет Землю догонит свет от самой дальней сверхновой, находящейся в момент взрыва не дальше 8,85 млрд. световых лет. Свет от сверхновой, находящейся на удалении 12 млрд. световых лет, также согласно этому графику, достигнет Земли только через 27,5 млрд. лет. А вот свет от сверхновой, находившейся на удалении 7 млрд. световых лет, уже достиг Земли, примерно 4 млрд. лет назад.

Рис.10.7
Данный рисунок отражает относительно малый интервал времени. На следующем рисунке время наблюдения увеличено для большей наглядности асимптоты:

Рис.10.8
На рисунке видно, что при любом, неограниченном росте T достижимая, наблюдаемая начальная удалённость R0 имеет предел, равный радиусу сферы Хаббла, который ныне равен приблизительно 13,7 млрд. световых лет. Для этого возраста Вселенной R0 ~ 8,65 млрд. световых лет. Эту величину и следует считать сегодняшним радиусом наблюдаемой Вселенной, а величину радиуса сферы Хаббла следует считать горизонтом видимости Вселенной.
На рисунке и в наших расчетах мы использовали приблизительное значение параметра Хаббла H0 = 1/14, поэтому в этом случае предельное значение R0 ~ 8,85 млрд. световых лет. При построении двух последних диаграмм использованы данные таблицы 1.
Радиусы горизонта и видимой Вселенной можно вывести и из довольно простых рассуждений, так сказать, "на пальцах". Поместим в центр сферы Хаббла источник – сверхновую, а на некотором удалении от неё – наблюдателя, Землю. В этом случае фотоны догоняют удаляющуюся Землю, вместо традиционных рассуждений, когда их уносит от Земли расширяющееся пространство. Очевидно, что начальная скорость фотонов в точности равна скорости света, поскольку на начальном участке их движения пространство практически не расширяется, в частности, вследствие гравитационной связанности.
Рассмотрим интервал времени, равный, например, 1 секунде. Мы понимаем, что если Земля находится дальше сферы Хаббла, то спустя эту секунду удалённость Земли от сверхновой увеличится больше, чем путь, пройденный фотонами. Это очевидно, поскольку скорость Земли за пределами сферы Хаббла превышает скорость света. Следовательно, фотоны явно её не догонят. Теперь рассмотрим вторую ситуацию: Земля находится очень близко от сверхновой, например, на удалении в 11 световых секунд. За первые t = 10 секунд фотоны приблизятся к Земле на 10 световых секунд, а Земля за это время, напротив, удалится от сверхновой на расстояние 10eHt световых секунд. Легко обнаружить, что эта величина лишь ненамного превышает 10 световых секунд пути фотонов, поскольку ввиду малости времени значение экспоненты мало отличается от единицы.
Таблица 1. Время T от момента вспышки до наблюдения
сверхновой, находившейся на удалении R0 от Земли

Сразу же догадываемся, что за следующие 10 секунд по этой же причине фотоны точно догонят Землю. Действительно, при малых значениях показателя, экспоненту можно заменить формулой:
![]()
Тогда удалённость Земли увеличилась на:
![]()
Получается, что фононы удалились на 10 световых секунд, а Земля – только на Ht << 1. Понятно, что в следующие 10 секунд фотоны явно её догонят, поскольку эту новую ситуацию мы можем рассматривать как исходную, но теперь уже Земля находится к звезде существенно ближе.
Таким образом, мы имеем два значения начальной удалённости: при одной из них фотоны догонят Землю, при другой – нет. Понятно, что между этим двумя значениями есть некоторое промежуточное, максимальное значение удалённости, на котором фотоны всё ещё смогут догнать Землю. Обозначим его через Rx. Тогда можно записать неравенство для первой секунды движения t = 1:
![]()
Преобразуем:

Согласно начальным условиям, за первую секунду расстояние между звездой и Землёй не должно было увеличиться. То есть, предельное значение удалённости Земли от сверхновой, при которой фотоны от её взрыва смогут догнать Землю, не должно превышать значения радиуса сферы Хаббла.
Наблюдаемый закон Хаббла
Известная, классическая диаграмма Хаббла, связывающая скорость удаления галактики с её удалённостью, является прямой линией, поскольку её уравнением является уравнение прямой: v = rH0. Однако пары значений (v, r), используемые для построения диаграмм Хаббла, при использовании нашего уравнения (10.3), очевидно, приведут к несколько иному виду диаграмм. При использовании этого уравнения красное смещение или скорость наблюдаемой галактики, сверхновой, очевидно, не меняются, поскольку нигде в алгоритме их коррекция не производилась. Но изменение величины дистанций, понятно, ведёт и к изменению их функциональной связи, изменению формы диаграммы закона Хаббла.
В этой связи следует выделить три варианта диаграмм закона Хаббла: теоретический, наблюдательный и условный, для начальных удалённостей сверхновых. Диаграмма теоретического закона v = Hr по умолчанию не учитывает время в пути света от наблюдаемой галактики, поэтому изначально она строго прямолинейна. Наблюдательный закон использует в теоретическом законе Хаббла наблюдаемые значения дистанций, которые на самом деле, как мы определили, меньше теоретических. Понятно, что диаграмма Хаббла (r, v) в этом случае окажется ниже теоретической диаграммы.
Теоретическая диаграмма закона Хаббла, судя по всему, на самом деле является экстраполяцией, поскольку строится на основании начального участка, по наблюдениям в ближней области Вселенной, в которой разница между теоретической яркостью и видимой практически незаметна. Полученное в этих измерениях значение параметра Хаббла H0 подставляется в теоретический закон Хаббла. На самом деле реальное, теоретическое значение параметра Хаббла на больших удалённостях должно быть больше экстраполяционного. Указанные варианты диаграмм Хаббла представлены на рисунке 10.9.
Горизонтальная ось диаграмм – скорость v удаления некоторой сверхновой в долях от скорости света. Следовательно, графики удалённостей Rco, R и R0 – фактически являются диаграммами Хаббла, зависимостями дистанции от скорости.
Традиционная или теоретическая диаграмма Хаббла изображена графиком синего цвета, и описывается стандартным законом Хаббла: v = H0R. График показывает реальную удалённость сверхновой, имеющей соответствующую скорость. График строго линейный, что вызвано неизменностью параметра Хаббла во времени.
Однако астрономы не могут непосредственно наблюдать удалённость сверхновой, о которой можно судить по её яркости. На самом деле из-за задержки света в пути и согласно представленным выше вычислениям для удалённостей сверхновой согласно (10.3), сверхновая видна более яркой, то есть, она кажется нам более близкой. Это и приводит к изгибу фактической диаграммы Хаббла до наблюдаемой диаграммы (красный график Rco).

Рис.10.9
Жёлтый график можно назвать условной диаграммой Хаббла, составленной для начальных, исходных удалённостей наблюдаемых сверхновых, то есть, для наблюдаемой Вселенной.
Таким образом, каждому значению скорости сверхновой соответствуют три значения удалённости – теоретическая R, пропорциональная параметру Хаббла H0; наблюдаемая Rco, учитывающая задержку во времени получения фотонов вспышки сверхновой; и исходная удалённость R0. Все величины на рисунке представлены в фотонной системе отсчёта: дистанция в млрд. световых лет, время – в млрд. лет, из чего следует, что скорость света равна 1.
Зелёный график Tce – это график времени, дат взрывов сверхновых от начала расширения Вселенной, имеющих в этот момент некоторую скорость v относительно Земли. Основное назначение этого параметра – определение значений для трёх других графиков. Например, сверхновая, движущаяся со световой скоростью, в начале расширения была на удалении 5 млрд. световых лет от Земли (жёлтый график R0), взорвалась примерно через 4 млрд. лет от начала расширения пространства или примерно 10 млрд. лет назад (зелёный график). Наблюдения показывают её удалённость на 10 млрд. световых лет (красный график Rco), хотя на самом деле сверхновая сегодня находится на удалении 14 млрд. световых лет (синий график).
Как видно на рисунке, самая быстрая наблюдаемая сегодня сверхновая c R0 = 8,85 сегодня удаляется от Земли со скоростью, равной 1,7 скоростям света. Взрыв её произошёл, условно, в самый начальный момент расширения Вселенной, то есть, 14 млрд. лет назад, Tce=0. Сегодня эта самая далёкая сверхновая находится на расстоянии в 24 млрд. световых лет от Земли.
Значение Tce=14 соответствует взрыву сверхновой в наши дни, когда её скорость относительно Земли близка к нулю. Название штриховой линии H0 использовано лишь для обозначения типа диаграммы – здесь это диаграмма с постоянной Хаббла H0. Её положение на рисунке соответствует времени наблюдения 14 млрд. лет от начала расширения пространства, что соответствует скорости удаления самой быстрой наблюдаемой сверхновой.
Жёлтая линия, диаграмма R0 представлена как справочная – это исходная удалённость сверхновой, движущейся с соответствующей скоростью, её удалённость от Земли в момент начала расширения пространства, то есть, 14 млрд. лет назад. Формально линия отражает радиус наблюдаемой Вселенной. Действительно, в наши дни, по данным в точке H0 на графиках, самая дальняя наблюдаемая ныне сверхновая имеет начальную удалённость R0 ~ 8,85 млрд. световых лет (жёлтый график). Реально ныне она удалена от нас на расстояние R ~ 24 млрд. световых лет (синий график), но видна как удалённая на Rco ~ 14 млрд. световых лет (красный график). Таким образом, мы фактически имеем три разных значения удалённости, три разных значения радиуса наблюдаемой Вселенной. Правильным, объективным радиусом следует считать R0 ~ 8,85 млрд. световых лет. Сегодня наблюдать мы можем только галактики, находившиеся 14 млрд. лет назад на более близком расстоянии от Земли. Удалённость Rco ~ 14 является условным радиусом наблюдаемой Вселенной, это удалённость кажущаяся, на такой дистанции эту сверхновую на самом деле мы не наблюдали никогда. Наконец, удалённость R ~ 24 является фактически справочной. Это реальная удалённость в наши дни этой самой дальней наблюдаемой сверхновой, которая ныне удаляется от Земли со скоростью v = 1,7c. Понятно, что свет от неё начал движение к Земле, когда галактика, была моложе на 14 млрд. лет и была от Земли на удалении 8,85 млрд. световых лет.
Для наблюдений нам недоступно всё, что произошло с нею после того, как эта сверхновая удалилась за горизонт Вселенной, сферу Хаббла, поэтому бессмысленно называть удалённость в 24 млрд. световых лет наблюдаемой. Более того, сегодня нам недоступны для наблюдения вообще все объекты, в прошлом находившиеся от Земли дальше 8,85 млрд. световых лет, то есть, 14 млрд. лет назад.
Представленные диаграммы соответствуют постоянной Хаббла, неизменному его значению H0, в нашем случае равному 1/14, что, впрочем, достаточно близко к современному его значению. Однако существуют, по меньшей мере, ещё четыре принципиально различающихся варианта параметра Хаббла:
непрерывно возрастающий;
непрерывно убывающий;
сначала возрастающий, затем убывающий;
сначала убывающий, затем возрастающий.
Понятно, что все эти функции изменения параметра Хаббла пересекаются в одной точке – в наши дни все они имеют значение H0. Также очевидно, что соответствующие им диаграммы Хаббла имеют разный вид.
Сконвертировано и опубликовано на https://SamoLit.com/